Identification
| Name |
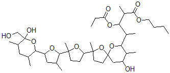
Butyl 4-[9-Hydroxy-2-[5-[5-[6-Hydroxy-6-(Hydroxymethyl)-3,5-Dimethyloxan-2-Yl]-3-Methyloxolan-2-Yl]-5-Methyloxolan-2-Yl]-2,8-Dimethyl-1,6-Dioxaspiro[4.5]Decan-7-Yl]-2-Methyl-3-Propanoyloxypentanoate |
| Synonyms |
Butyl 4-[9-Hydroxy-2-[5-[5-[6-Hydroxy-6-(Hydroxymethyl)-3,5-Dimethyl-Tetrahydropyran-2-Yl]-3-Methyl-Tetrahydrofuran-2-Yl]-5-Methyl-Tetrahydrofuran-2-Yl]-2,8-Dimethyl-1,6-Dioxaspiro[4.5]Decan-7-Yl]-2-Methyl-3-Propanoyloxy-Pentanoate; 4-[9-Hydroxy-2-[5-[5-[6-Hydroxy-6-(Hydroxymethyl)-3,5-Dimethyl-2-Tetrahydropyranyl]-3-Methyl-2-Tetrahydrofuranyl]-5-Methyl-2-Tetrahydrofuranyl]-2,8-Dimethyl-1,6-Dioxaspiro[4.5]Decan-7-Yl]-2-Methyl-3-(1-Oxopropoxy)Pentanoic Acid Butyl Ester; 4-[9-Hydroxy-2-[5-[5-(6-Hydroxy-3,5-Dimethyl-6-Methylol-Tetrahydropyran-2-Yl)-3-Methyl-Tetrahydrofuran-2-Yl]-5-Methyl-Tetrahydrofuran-2-Yl]-2,8-Dimethyl-1,6-Dioxaspiro[4.5]Decan-7-Yl]-2-Methyl-3-Propionyloxy-Valeric Acid Butyl Ester |
|
| Molecular Structure |
![CAS#: 78734-45-9, Butyl 4-[9-Hydroxy-2-[5-[5-[6-Hydroxy-6-(Hydroxymethyl)-3,5-Dimethyloxan-2-Yl]-3-Methyloxolan-2-Yl]-5-Methyloxolan-2-Yl]-2,8-Dimethyl-1,6-Dioxaspiro[4.5]Decan-7-Yl]-2-Methyl-3-Propanoyloxypentanoate](/moreStructures/78734-45-9.gif) |
| Molecular Formula |
C41H70O12 |
| Molecular Weight |
755.00 |
| CAS Registry Number |
78734-45-9 |
| SMILES |
C(O)C5(OC(C4OC(C3(OC(C2(OC1(OC(C(C(O)C1)C)C(C(OC(=O)CC)C(C(OCCCC)=O)C)C)CC2)C)CC3)C)C(C4)C)C(CC5C)C)O |
| InChI |
1S/C41H70O12/c1-11-13-18-47-37(45)28(8)34(49-32(44)12-2)27(7)35-26(6)29(43)21-40(51-35)17-16-38(9,53-40)31-14-15-39(10,50-31)36-24(4)20-30(48-36)33-23(3)19-25(5)41(46,22-42)52-33/h23-31,33-36,42-43,46H,11-22H2,1-10H3 |
| InChIKey |
WLEOCMXCIDMCGD-UHFFFAOYSA-N |
|