Online Database of Chemicals from Around the World

Pentaerythritol tetranitrate
[CAS 78-11-5]

List of Suppliers
BOC Sciences USA
www.bocsci.com
+1 (631) 485-4226
+1 (631) 614-7828
info@bocsci.com
Chemical manufacturer
chemBlink Standard supplier since 2010
AccuStandard Inc. USA
www.accustandard.com
+1 (203) 786-5290
+1 (203) 786-5287
orders@accustandard.com
Chemical manufacturer since 1986
SelectLab Chemicals GmbH Germany
www.selectlab.de
+49 (2383) 919-350
919-351
+49 (2383) 919-354
info@selectlab.de
Chemical manufacturer

Identification
ClassificationAPI >> Circulatory system medication >> Prevention and treatment of angina pectoris
NamePentaerythritol tetranitrate
SynonymsPentaerithrityl tetranitrate; 2,2-Bis(hydroxymethyl)-1,3-propanediol tetranitrate
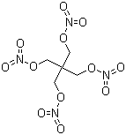
Molecular StructurePentaerythritol tetranitrate molecular structure (CAS 78-11-5)
Molecular FormulaC5H8N4O12
Molecular Weight316.14
CAS Registry Number78-11-5
EC Number201-084-3
Safety Data
Hazard Symbolssymbol   GHS01 Danger  Details
Risk StatementsH201  Details
Hazard Classification
up    Details
HazardClassCategory CodeHazard Statement
Unstable ExplosivesUnst. Expl.H200
ExplosivesExpl.1.1H201
Acute toxicityAcute Tox.4H302
SDSAvailable
Market Analysis Reports
Related Products
Pentaerythritol...  Pentaerythritol...  Pentaerythritol...  Pentaerythritol...  Pentaerythritol...  Pentaerythritol...  Pentaerythritol...  Pentaerythritol...  Pentaerythritol...  Pentaerythritol...  Pentaerythritol...  Pentaerythritol...  Pentaerythritol...  Pentaerythritol...  Pentaerythritol...  Pentaerythritol...  Pentaerythritro...  Pentaerythrityl...  Pentaerythrityl...  Pentaerythrityl...