Online Database of Chemicals from Around the World

[(2R)-1-Hexadecanoyloxy-3-[Hydroxy-[2-(Pyren-2-Ylsulfonylamino)Ethoxy]Phosphoryl]Oxypropan-2-Yl] Hexadecanoate
[CAS 74555-72-9]

Suppliers
CAS#: 74555-72-9
Product: [(2R)-1-Hexadecanoyloxy-3-[Hydroxy-[2-(Pyren-2-Ylsulfonylamino)Ethoxy]Phosphoryl]Oxypropan-2-Yl] Hexadecanoate
No suppilers available for the product.
Identification
Name [(2R)-1-Hexadecanoyloxy-3-[Hydroxy-[2-(Pyren-2-Ylsulfonylamino)Ethoxy]Phosphoryl]Oxypropan-2-Yl] Hexadecanoate
Synonyms [(1R)-1-(Hexadecanoyloxymethyl)-2-[Hydroxy-[2-(Pyren-2-Ylsulfonylamino)Ethoxy]Phosphoryl]Oxy-Ethyl] Hexadecanoate; Hexadecanoic Acid [(1R)-1-[[Hydroxy-[2-(2-Pyrenylsulfonylamino)Ethoxy]Phosphoryl]Oxymethyl]-2-(1-Oxohexadecoxy)Ethyl] Ester; Palmitic Acid [(1R)-1-(Hexadecanoyloxymethyl)-2-[Hydroxy-[2-(Pyren-2-Ylsulfonylamino)Ethoxy]Phosphoryl]Oxy-Ethyl] Ester
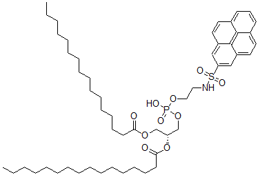
Molecular Structure CAS#: 74555-72-9, [(2R)-1-Hexadecanoyloxy-3-[Hydroxy-[2-(Pyren-2-Ylsulfonylamino)Ethoxy]Phosphoryl]Oxypropan-2-Yl] Hexadecanoate
Molecular Formula C53H82NO10PS
Molecular Weight 956.27
CAS Registry Number 74555-72-9
SMILES [C@@H](COC(CCCCCCCCCCCCCCC)=O)(CO[P](=O)(OCCN[S](=O)(=O)C1=CC2=CC=C3C=CC=C4C=CC(=C1)C2=C34)O)OC(CCCCCCCCCCCCCCC)=O
InChI 1S/C53H82NO10PS/c1-3-5-7-9-11-13-15-17-19-21-23-25-27-32-50(55)61-42-48(64-51(56)33-28-26-24-22-20-18-16-14-12-10-8-6-4-2)43-63-65(57,58)62-39-38-54-66(59,60)49-40-46-36-34-44-30-29-31-45-35-37-47(41-49)53(46)52(44)45/h29-31,34-37,40-41,48,54H,3-28,32-33,38-39,42-43H2,1-2H3,(H,57,58)/t48-/m1/s1
InChIKey UJLCBUUYFXOGBG-QSCHNALKSA-N
Properties
Density 1.127g/cm3 (Cal.)
Boiling point 941.334°C at 760 mmHg (Cal.)
Flash point 523.1°C (Cal.)
Market Analysis Reports
Related Products
2-[2-(2-Hexadec...  2-(2-Hexadecano...  2-Hexadecanoylo...  (1-Hexadecanoyl...  [(2R)-3-Hexadec...  [(2R)-3-Hexadec...  [(2R)-3-Hexadec...  [(2R)-1-Hexadec...  [(2R)-2-Hexadec...  (1-Hexadecanoyl...  [(2R)-2-Hexadec...  [(2R)-2-Hexadec...  (R)-1-[[(Hexade...  [(2R)-3-Hexadec...  [(2R,3S,4S,5R,6...  [(2R)-3-Hexadec...  [3-Hexadecanoyl...  [3-Hexadecanoyl...  1-Hexadecanoylo...  2-(Hexadecanoyl...