Online Database of Chemicals from Around the World

1,1'-Oxydi(2-butanol)
[CAS 74262-24-1]

Suppliers
Achemica Switzerland
+41 (24) 466-2929
contact@achemica.com
Chemical manufacturer since 2010
Identification
Name 1,1'-Oxydi(2-butanol)
Synonyms 1,1'-oxybisbutan-2-ol
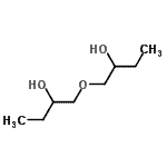
Molecular Structure CAS#: 74262-24-1, 1,1'-Oxydi(2-butanol)
Molecular Formula C8H18O3
Molecular Weight 162.23
CAS Registry Number 74262-24-1
EINECS 277-791-6
SMILES CCC(O)COCC(O)CC
InChI 1S/C8H18O3/c1-3-7(9)5-11-6-8(10)4-2/h7-10H,3-6H2,1-2H3
InChIKey VKWZWOKLRQWMPC-UHFFFAOYSA-N
Properties
Density 0.997g/cm3 (Cal.)
Boiling point 268.059°C at 760 mmHg (Cal.)
Flash point 115.919°C (Cal.)
Market Analysis Reports
Related Products
Oxycort;(2Z,4S,...  1,1'-Oxydiaceto...  2,2'-Oxydiacety...  4,4'-Oxydianili...  3,4'-Oxydianili...  2,2'-Oxydibenza...  4,4'-Oxydibenza...  4,4'-Oxydibenze...  4,4'-Oxydi(Benz...  2,2'-Oxydibiphe...  4,4'-Oxydibutyl...  N,N'-(Oxydi-2,1...  [mu-[[4,4'-(Oxy...  1,1'-(Oxydi-2,1...  Oxydiethane-2,1...  Oxydi-2,1-Ethan...  Oxydiethane-2,1...  1,1'-(Oxydi-2,1...  Oxydi-2,1-ethan...  Oxydi-2,1-ethan...