Online Database of Chemicals from Around the World

(2S)-N-[(2S)-6-Amino-1-[(2-Amino-2-Oxoethyl)Amino]-1-Oxohexan-2-Yl]-1-[(4R,7S,10S,13S,16S,19R)-19-Amino-10-(3-Amino-3-Oxopropyl)-7-(2-Dimethylamino-2-Oxoethyl)-16-[(4-Hydroxyphenyl)Methyl]-6,9,12,15,18-Pentaoxo-13-(Phenylmethyl)1,2-Dithia-5,8,11,14,17-Pentazacycloicosane-4-Carbonyl]Pyrrolidine-2-Carboxamide
[CAS 72449-67-3]

Suppliers
CAS#: 72449-67-3
Product: (2S)-N-[(2S)-6-Amino-1-[(2-Amino-2-Oxoethyl)Amino]-1-Oxohexan-2-Yl]-1-[(4R,7S,10S,13S,16S,19R)-19-Amino-10-(3-Amino-3-Oxopropyl)-7-(2-Dimethylamino-2-Oxoethyl)-16-[(4-Hydroxyphenyl)Methyl]-6,9,12,15,18-Pentaoxo-13-(Phenylmethyl)1,2-Dithia-5,8,11,14,17-Pentazacycloicosane-4-Carbonyl]Pyrrolidine-2-Carboxamide
No suppilers available for the product.
Identification
Name (2S)-N-[(2S)-6-Amino-1-[(2-Amino-2-Oxoethyl)Amino]-1-Oxohexan-2-Yl]-1-[(4R,7S,10S,13S,16S,19R)-19-Amino-10-(3-Amino-3-Oxopropyl)-7-(2-Dimethylamino-2-Oxoethyl)-16-[(4-Hydroxyphenyl)Methyl]-6,9,12,15,18-Pentaoxo-13-(Phenylmethyl)1,2-Dithia-5,8,11,14,17-Pentazacycloicosane-4-Carbonyl]Pyrrolidine-2-Carboxamide
Synonyms (2S)-N-[(1S)-5-Amino-1-[(2-Amino-2-Oxo-Ethyl)Carbamoyl]Pentyl]-1-[(4R,7S,10S,13S,16S,19R)-19-Amino-10-(3-Amino-3-Oxo-Propyl)-7-(2-Dimethylamino-2-Oxo-Ethyl)-16-[(4-Hydroxyphenyl)Methyl]-6,9,12,15,18-Pentaoxo-13-(Phenylmethyl)1,2-Dithia-5,8,11,14,17-Pentazacycloicosane-4-Carbonyl]Pyrrolidine-2-Carboxamide; (2S)-N-[(1S)-5-Amino-1-[[(2-Amino-2-Oxoethyl)Amino]-Oxomethyl]Pentyl]-1-[[(4R,7S,10S,13S,16S,19R)-19-Amino-10-(3-Amino-3-Oxopropyl)-7-(2-Dimethylamino-2-Oxoethyl)-16-[(4-Hydroxyphenyl)Methyl]-6,9,12,15,18-Pentaoxo-13-(Phenylmethyl)-1,2-Dithia-5,8,11,14,17-Pentazacycloicos-4-Yl]-Oxomethyl]-2-Pyrrolidinecarboxamide; (2S)-N-[(1S)-5-Amino-1-[(2-Amino-2-Keto-Ethyl)Carbamoyl]Pentyl]-1-[(4R,7S,10S,13S,16S,19R)-19-Amino-10-(3-Amino-3-Keto-Propyl)-13-(Benzyl)-7-(2-Dimethylamino-2-Keto-Ethyl)-16-(4-Hydroxybenzyl)-6,9,12,15,18-Pentaketo-1,2-Dithia-5,8,11,14,17-Pentazacycloicosane-4-Carbonyl]Pyrrolidine-2-Carboxamide
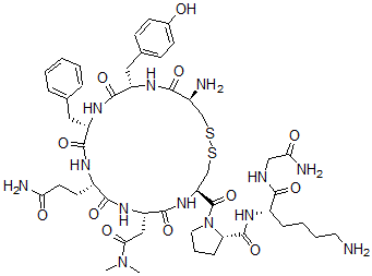
Molecular Structure CAS#: 72449-67-3, (2S)-N-[(2S)-6-Amino-1-[(2-Amino-2-Oxoethyl)Amino]-1-Oxohexan-2-Yl]-1-[(4R,7S,10S,13S,16S,19R)-19-Amino-10-(3-Amino-3-Oxopropyl)-7-(2-Dimethylamino-2-Oxoethyl)-16-[(4-Hydroxyphenyl)Methyl]-6,9,12,15,18-Pentaoxo-13-(Phenylmethyl)1,2-Dithia-5,8,11,14,17-Pentazacycloicosane-4-Carbonyl]Pyrrolidine-2-Carboxamide
Molecular Formula C48H69N13O12S2
Molecular Weight 1084.27
CAS Registry Number 72449-67-3
SMILES [C@H]1(NC(=O)[C@@H](NC(=O)[C@@H](N)CSSC[C@H](NC(=O)[C@@H](NC(=O)[C@@H](NC1=O)CCC(=O)N)CC(=O)N(C)C)C(=O)N2[C@H](C(=O)N[C@H](C(=O)NCC(=O)N)CCCCN)CCC2)CC3=CC=C(O)C=C3)CC4=CC=CC=C4
InChI 1S/C48H69N13O12S2/c1-60(2)40(65)23-35-46(71)59-36(48(73)61-20-8-12-37(61)47(72)55-31(11-6-7-19-49)42(67)53-24-39(52)64)26-75-74-25-30(50)41(66)56-33(22-28-13-15-29(62)16-14-28)45(70)57-34(21-27-9-4-3-5-10-27)44(69)54-32(43(68)58-35)17-18-38(51)63/h3-5,9-10,13-16,30-37,62H,6-8,11-12,17-26,49-50H2,1-2H3,(H2,51,63)(H2,52,64)(H,53,67)(H,54,69)(H,55,72)(H,56,66)(H,57,70)(H,58,68)(H,59,71)/t30-,31-,32-,33-,34-,35-,36-,37-/m0/s1
InChIKey RDVRWKMDXFMMDJ-MDKUUQCZSA-N
Properties
Density 1.3±0.1g/cm3 (Cal.)
Boiling point 1556.2±65.0°C at 760 mmHg (Cal.)
Flash point 894.9±34.3°C (Cal.)
Market Analysis Reports
Related Products
3-Amino-6-(amin...  N-[5-Amino-2-[3...  1-Amino-3-(Amin...  2-Amino-3-[2-Am...  (2S)-2-Amino-N-...  (2S)-2-Amino-5-...  (4S)-5-[[(2R)-1...  (2R,3R)-3-[[(2S...  (2S)-6-Amino-2-...  (3Z)-5-Amino-3-...  N-[(2S)-5-Amino...  N-[5-Amino-1-[(...  N-[5-Amino-1-[(...  N-[5-Amino-1-[(...  N-[5-Amino-1-[(...  1-{[(4R,7S,10S,...  (2S)-1-[(4R,7R,...  1-[(4R,7S,10S,1...  1-{[(4R,7S,10S,...  (4R,7S,10S,16S,...