Online Database of Chemicals from Around the World

Sialosylparagloboside
[CAS 71833-57-3]

Suppliers
CAS#: 71833-57-3
Product: Sialosylparagloboside
No suppilers available for the product.
Identification
Name Sialosylparagloboside
Synonyms (2S,4R,5S,6S)-5-Acetamido-2-[(2R,3R,4S,5S,6R)-2-[(2S,3R,4R,5R,6R)-3-Acetamido-2-[(2S,3R,4S,5S,6R)-2-[(2R,3S,4R,5R,6R)-4,5-Dihydroxy-2-(Hydroxymethyl)-6-[(Z)-3-Hydroxy-2-(Octadecanoylamino)Octadec-4-Enoxy]Tetrahydropyran-3-Yl]Oxy-3,5-Dihydroxy-6-(Hydroxymethyl)Tetrahydropyran-4-Yl]Oxy-5-Hydroxy-6-(Hydroxymethyl)Tetrahydropyran-4-Yl]Oxy-3,5-Dihydroxy-6-(Hydroxymethyl)Tetrahydropyran-4-Yl]Oxy-4-Hydroxy-6-(1,2,3-Trihydroxypropyl)Tetrahydropyran-2-Carboxylic Acid; (2S,4R,5S,6S)-5-Acetamido-2-[[(2R,3R,4S,5S,6R)-2-[[(2S,3R,4R,5R,6R)-3-Acetamido-2-[[(2S,3R,4S,5S,6R)-2-[[(2R,3S,4R,5R,6R)-4,5-Dihydroxy-2-(Hydroxymethyl)-6-[(Z)-3-Hydroxy-2-(1-Oxooctadecylamino)Octadec-4-Enoxy]-3-Tetrahydropyranyl]Oxy]-3,5-Dihydroxy-6-(Hydroxymethyl)-4-Tetrahydropyranyl]Oxy]-5-Hydroxy-6-(Hydroxymethyl)-4-Tetrahydropyranyl]Oxy]-3,5-Dihydroxy-6-(Hydroxymethyl)-4-Tetrahydropyranyl]Oxy]-4-Hydroxy-6-(1,2,3-Trihydroxypropyl)-2-Tetrahydropyrancarboxylic Acid; (2S,4R,5S,6S)-5-Acetamido-2-[(2R,3R,4S,5S,6R)-2-[(2S,3R,4R,5R,6R)-3-Acetamido-2-[(2S,3R,4S,5S,6R)-2-[(2R,3S,4R,5R,6R)-4,5-Dihydroxy-6-[(Z)-3-Hydroxy-2-Stearamido-Octadec-4-Enoxy]-2-Methylol-Tetrahydropyran-3-Yl]Oxy-3,5-Dihydroxy-6-Methylol-Tetrahydropyran-4-Yl]Oxy-5-Hydroxy-6-Methylol-Tetrahydropyran-4-Yl]Oxy-3,5-Dihydroxy-6-Methylol-Tetrahydropyran-4-Yl]Oxy-4-Hydroxy-6-(1,2,3-Trihydroxypropyl)Tetrahydropyran-2-Carboxylic Acid
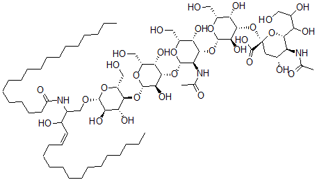
Molecular Structure CAS#: 71833-57-3, Sialosylparagloboside
Molecular Formula C73H131N3O31
Molecular Weight 1546.84
CAS Registry Number 71833-57-3
SMILES [C@@]5(O[C@@H]4[C@@H](O)[C@H](O[C@@H]1[C@@H](NC(=O)C)[C@@H](O[C@@H]([C@@H]1O)CO)O[C@@H]2[C@@H](O)[C@@H](O[C@@H]([C@@H]2O)CO)O[C@H]3[C@H](O)[C@@H](O)[C@@H](O[C@@H]3CO)OCC(NC(=O)CCCCCCCCCCCCCCCCC)C(O)\C=C/CCCCCCCCCCCCC)O[C@@H]([C@@H]4O)CO)(O[C@@H]([C@@H](NC(=O)C)[C@H](O)C5)C(O)C(O)CO)C(=O)O
InChI 1S/C73H131N3O31/c1-5-7-9-11-13-15-17-19-20-22-24-26-28-30-32-34-52(87)76-44(45(84)33-31-29-27-25-23-21-18-16-14-12-10-8-6-2)41-98-69-60(93)59(92)63(51(40-81)102-69)103-70-61(94)66(57(90)49(38-79)100-70)105-68-54(75-43(4)83)64(56(89)48(37-78)99-68)104-71-62(95)67(58(91)50(39-80)101-71)107-73(72(96)97)35-46(85)53(74-42(3)82)65(106-73)55(88)47(86)36-77/h31,33,44-51,53-71,77-81,84-86,88-95H,5-30,32,34-41H2,1-4H3,(H,74,82)(H,75,83)(H,76,87)(H,96,97)/b33-31-/t44?,45?,46-,47?,48-,49-,50-,51-,53+,54-,55?,56+,57+,58+,59-,60-,61-,62-,63-,64-,65+,66+,67+,68+,69-,70+,71+,73+/m1/s1
InChIKey OWMXULOUTAAVIX-HNZIOFRCSA-N
Properties
Density 1.357g/cm3 (Cal.)
Boiling point 1526.142°C at 760 mmHg (Cal.)
Flash point 876.779°C (Cal.)
Market Analysis Reports
Related Products
[10]-Shogaol;1-...  6-Shogaol;(E)-1...  Shorea Stenopte...  Shoreic acid;Sh...  Shvo's catalyst...  Shyobunone  O-Sialic Acid;5...  Sialin Peptide;...  Sialokinin I;(3...  Sialokinin II;(...  7-N-(4-O-Sialos...  6-O-alpha-Sialy...  3'-Sialyl-N-Ace...  3'-beta-Sialyl-...  Sialylglycopept...  2-(N-3'-Sialyll...  3'-Sialyllactos...  6-Sialyl-D-Lact...  Sialyl-Le(a) Ol...  3'-Sialyl Lewis...