Online Database of Chemicals from Around the World

Edeine F
[CAS 71750-64-6]

Suppliers
CAS#: 71750-64-6
Product: Edeine F
No suppilers available for the product.
Identification
Name Edeine F
Synonyms (2R,6S,7R)-6-Amino-2-[[(2S)-3-Amino-2-[[(3R)-3-Amino-3-Hydroxy-Propanoyl]-[(2S)-3-Amino-2-Phenyl-Propanoyl]Amino]Propanoyl]Amino]-9-[[2-[3-(4-Guanidinobutylamino)Propylamino]Acetyl]Amino]-7-Hydroxy-9-Oxo-Nonanoic Acid; (2R,6S,7R)-6-Amino-2-[[(2S)-3-Amino-2-[[(3R)-3-Amino-3-Hydroxy-1-Oxopropyl]-[(2S)-3-Amino-1-Oxo-2-Phenylpropyl]Amino]-1-Oxopropyl]Amino]-9-[[2-[3-(4-Guanidinobutylamino)Propylamino]-1-Oxoethyl]Amino]-7-Hydroxy-9-Oxononanoic Acid; (2R,6S,7R)-6-Amino-2-[[(2S)-3-Amino-2-[[(3R)-3-Amino-3-Hydroxy-Propanoyl]-[(2S)-3-Amino-2-Phenyl-Propanoyl]Amino]Propanoyl]Amino]-9-[[2-[3-(4-Guanidinobutylamino)Propylamino]Acetyl]Amino]-7-Hydroxy-9-Keto-Pelargonic Acid
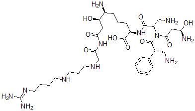
Molecular Structure CAS#: 71750-64-6, Edeine F
Molecular Formula C34H60N12O9
Molecular Weight 780.92
CAS Registry Number 71750-64-6
SMILES [C@H](N)(CCC[C@@H](NC(=O)[C@@H](N(C(=O)[C@H](CN)C1=CC=CC=C1)C(=O)C[C@@H](O)N)CN)C(O)=O)[C@H](O)CC(=O)NC(=O)CNCCCNCCCCN=C(N)N
InChI 1S/C34H60N12O9/c35-18-22(21-8-2-1-3-9-21)32(53)46(30(51)17-27(38)48)25(19-36)31(52)44-24(33(54)55)11-6-10-23(37)26(47)16-28(49)45-29(50)20-42-14-7-13-41-12-4-5-15-43-34(39)40/h1-3,8-9,22-27,41-42,47-48H,4-7,10-20,35-38H2,(H,44,52)(H,54,55)(H4,39,40,43)(H,45,49,50)/t22-,23+,24-,25+,26-,27-/m1/s1
InChIKey WMAKHNPKGVNAJY-DDURVGIBSA-N
Properties
Density 1.446g/cm3 (Cal.)
Market Analysis Reports
Related Products
Ectoin;(S)-1,4,...  Ectylurea;(E)-N...  Eculizumab;Soli...  Edaglitazone;BM...  Edaravone D5;5-...  Edaravone;3-Met...  Edatrexate;N-(4...  Edeine A;6-Amin...  Edeine B;6-Amin...  Edeine D;(2R,6S...  Edelfosine;(2-M...  Edestin;Edestin...  Edgeworin;7-Hyd...  Edifenphos;O-Et...  Edifoligide  Edivoxetine;(al...  Edobacomab;Immu...  Edogestrone;[(8...  Edonentan;N-[[2...  Edonentan monoh...