Identification
| Name |
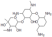
4-O-(2,6-Diamino-2,3,4,6-Tetradeoxy-alpha-D-Erythro-Hexopyranosyl)-6-O-(4-C-Methyl-3-Methylamino-3-Deoxy-beta-D-Arabino-Pentopyranosyl)-N'-Methyl-2-Deoxy-D-Streptamine |
| Synonyms |
2-[6-Amino-3-[3-Amino-6-(Aminomethyl)Tetrahydropyran-2-Yl]Oxy-2-Hydroxy-4-Methylamino-Cyclohexoxy]-5-Methyl-4-Methylamino-Tetrahydropyran-3,5-Diol; 2-[6-Amino-3-[[3-Amino-6-(Aminomethyl)-2-Tetrahydropyranyl]Oxy]-2-Hydroxy-4-Methylaminocyclohexoxy]-5-Methyl-4-Methylaminotetrahydropyran-3,5-Diol; 2-[6-Amino-3-[3-Amino-6-(Aminomethyl)Oxan-2-Yl]Oxy-2-Hydroxy-4-Methylamino-Cyclohexyl]Oxy-5-Methyl-4-Methylamino-Oxane-3,5-Diol |
|
| Molecular Structure |
 |
| Molecular Formula |
C20H41N5O7 |
| Molecular Weight |
463.57 |
| CAS Registry Number |
69375-05-9 |
| SMILES |
C(C3OC(OC2C(C(OC1C(O)C(C(CO1)(O)C)NC)C(CC2NC)N)O)C(CC3)N)N |
| InChI |
1S/C20H41N5O7/c1-20(28)8-29-19(14(27)17(20)25-3)31-15-11(23)6-12(24-2)16(13(15)26)32-18-10(22)5-4-9(7-21)30-18/h9-19,24-28H,4-8,21-23H2,1-3H3 |
| InChIKey |
CRXGSOIRPYQOTQ-UHFFFAOYSA-N |
|