Online Database of Chemicals from Around the World

6-O-(2-Tetradecylhexadecanoyl)-N-acetylmuramyl-L-alanyl-D-isoglutamine
[CAS 66880-80-6]

Suppliers
CAS#: 66880-80-6
Product: 6-O-(2-Tetradecylhexadecanoyl)-N-acetylmuramyl-L-alanyl-D-isoglutamine
No suppilers available for the product.
Identification
Name 6-O-(2-Tetradecylhexadecanoyl)-N-acetylmuramyl-L-alanyl-D-isoglutamine
Synonyms (4R)-4-[[(2S)-2-[[(2R)-2-[(1R,2R,3R)-1-[(1R)-1-Acetamido-2-Oxo-Ethyl]-2,3-Dihydroxy-4-(2-Tetradecylhexadecanoyloxy)Butoxy]Propanoyl]Amino]Propanoyl]Amino]-5-Amino-5-Oxo-Pentanoic Acid; (4R)-4-[[(2S)-2-[[(2R)-2-[(1R,2R,3R)-1-[(1R)-1-Acetamido-2-Oxoethyl]-2,3-Dihydroxy-4-(1-Oxo-2-Tetradecylhexadecoxy)Butoxy]-1-Oxopropyl]Amino]-1-Oxopropyl]Amino]-5-Amino-5-Oxopentanoic Acid; (4R)-4-[[(2S)-2-[[(2R)-2-[(1R,2R,3R)-1-[(1R)-1-Acetamido-2-Keto-Ethyl]-2,3-Dihydroxy-4-(2-Myristylhexadecanoyloxy)Butoxy]Propanoyl]Amino]Propanoyl]Amino]-5-Amino-5-Keto-Valeric Acid
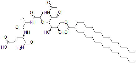
Molecular Structure CAS#: 66880-80-6, 6-O-(2-Tetradecylhexadecanoyl)-N-acetylmuramyl-L-alanyl-D-isoglutamine
Molecular Formula C49H90N4O12
Molecular Weight 927.27
CAS Registry Number 66880-80-6
SMILES [C@H](O[C@H]([C@H](C=O)NC(=O)C)[C@@H]([C@@H](COC(=O)C(CCCCCCCCCCCCCC)CCCCCCCCCCCCCC)O)O)(C(N[C@H](C(N[C@H](CCC(O)=O)C(=O)N)=O)C)=O)C
InChI 1S/C49H90N4O12/c1-6-8-10-12-14-16-18-20-22-24-26-28-30-39(31-29-27-25-23-21-19-17-15-13-11-9-7-2)49(63)64-35-42(56)44(59)45(41(34-54)52-38(5)55)65-37(4)48(62)51-36(3)47(61)53-40(46(50)60)32-33-43(57)58/h34,36-37,39-42,44-45,56,59H,6-33,35H2,1-5H3,(H2,50,60)(H,51,62)(H,52,55)(H,53,61)(H,57,58)/t36-,37+,40+,41-,42+,44+,45+/m0/s1
InChIKey GMDKAFQKGCXHQQ-UQIULFSHSA-N
Properties
Density 1.084g/cm3 (Cal.)
Boiling point 1086.132°C at 760 mmHg (Cal.)
Flash point 610.671°C (Cal.)
Market Analysis Reports
Related Products
N-Tetradecylfor...  N-Tetradecyl-D-...  Tetradecyl 4-O-...  Tetradecyl D-Gl...  1-O-Tetradecylg...  2-Tetradecylgly...  Tetradecylguani...  Tetradecyl hept...  Tetradecyl Hept...  2-Tetradecylhex...  Tetradecyl Hydr...  Tetradecyl Hydr...  Tetradecyl Icos...  2-Tetradecyl-1-...  1,1'-Tetradecyl...  1-Tetradecyl-2,...  P,P'-[(tetradec...  P,P'-[(tetradec...  P,P'-[(Tetradec...  [(Tetradecylimi...