Online Database of Chemicals from Around the World

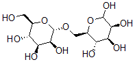
6-O-alpha-D-Mannopyranosyl-D-Mannopyranose
[CAS 6614-35-3]

Suppliers
Carbosynth China Ltd. China
+86 (512) 6260-5585
sales@carbosynth.com
QQ Chat
Chemical manufacturer since 2006
Chemical distributor since 2006
chemBlink massive supplier since 2016
BOC Sciences USA
+1 (631) 485-4226
info@bocsci.com
Skype Chat
Chemical distributor
chemBlink massive supplier since 2012
Biosynth AG. Switzerland
+41 (71) 858-2020
welcome@biosynth.ch
Chemical manufacturer
Carbosynth Limited UK
+44 (1635) 578-444
sales@carbosynth.com
Chemical manufacturer
Glentham Life Sciences UK
+44 (2033) 978-798
info@glenthamls.com
Chemical distributor since 2013
Identification
Classification Biochemical >> Carbohydrate >> Monosaccharide
Name 6-O-alpha-D-Mannopyranosyl-D-Mannopyranose
Molecular Structure CAS#: 6614-35-3, 6-O-alpha-D-Mannopyranosyl-D-Mannopyranose
CAS Registry Number 6614-35-3
Market Analysis Reports
Related Products
alpha-D-Mannopy...  alpha-D-Mannopy...  beta-D-Mannopyr...  alpha-D-Mannopy...  beta-D-Mannopyr...  alpha-D-Mannopy...  alpha-D-Mannopy...  4-O-beta-D-Mann...  alpha-D-Mannopy...  2-O-alpha-D-Man...  D-Mannopyranosy...  O-alpha-D-Manno...  O-beta-D-Mannop...  O-Mannopyranosy...  O-beta-D-Mannop...  alpha-D-Mannopy...  N-(O-alpha-D-ma...  O-alpha-D-Manno...  O-alpha-D-Manno...  O-alpha-D-Manno...