Online Database of Chemicals from Around the World

Kaurane-3,16,17-Triol-3-O-beta-Glucopyranosyl-17-O-beta-Glucopyranoside
[CAS 64280-16-6]

Suppliers
CAS#: 64280-16-6
Product: Kaurane-3,16,17-Triol-3-O-beta-Glucopyranosyl-17-O-beta-Glucopyranoside
No suppilers available for the product.
Identification
Name Kaurane-3,16,17-Triol-3-O-beta-Glucopyranosyl-17-O-beta-Glucopyranoside
Synonyms Kaurane-Glup-Glup; Beta-D-Glucopyranoside, (3Alpha)-16-Hydroxykaurane-3,17-Diyl Bis-
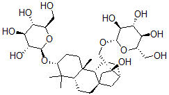
Molecular Structure CAS#: 64280-16-6, Kaurane-3,16,17-Triol-3-O-beta-Glucopyranosyl-17-O-beta-Glucopyranoside
Molecular Formula C32H54O13
Molecular Weight 646.77
CAS Registry Number 64280-16-6
SMILES [C@@]23([C@@H](C(C)(C)[C@H](O[C@H]1[C@@H]([C@@H](O)[C@@H]([C@H](O1)CO)O)O)CC2)CC[C@@]46[C@H]3CC[C@@H]([C@](C4)(CO[C@@H]5[C@H]([C@H](O)[C@H]([C@@H](O5)CO)O)O)O)C6)C
InChI 1S/C32H54O13/c1-29(2)18-6-9-31-10-15(32(41,13-31)14-42-27-25(39)23(37)21(35)16(11-33)43-27)4-5-19(31)30(18,3)8-7-20(29)45-28-26(40)24(38)22(36)17(12-34)44-28/h15-28,33-41H,4-14H2,1-3H3/t15-,16+,17-,18-,19+,20-,21+,22-,23-,24+,25+,26-,27+,28+,30-,31+,32+/m1/s1
InChIKey SEICMRDJFDBLKU-HFUYXQKZSA-N
Properties
Density 1.444g/cm3 (Cal.)
Boiling point 828.08°C at 760 mmHg (Cal.)
Flash point 454.606°C (Cal.)
Market Analysis Reports
Related Products
2,16-Kauranedio...  2,16-Kauranedio...  [5alpha,8beta,9...  (16alpha)-Kaura...  (4alpha)-Kauran...  Kaurane-3,16,17...  2,6,16-Kauranet...  Kaurane-6beta,1...  2,16,19-Kaurane...  2,6,16-Kauranet...  Kauran-13-Ol;Ka...  Kaurene  Kaur-16-Ene;kau...  16-Kaurene-2,6,...  (3alpha,4beta,1...  (4S)-Kaur-15-en...  (4-beta)-Kaur-1...  Kaurenoic acid;...  Kaur-16-En-15-O...  Kaur-15-En-17-O...