Online Database of Chemicals from Around the World

Mutalomycin
[CAS 62618-08-0]

Suppliers
CAS#: 62618-08-0
Product: Mutalomycin
No suppilers available for the product.
Identification
Name Mutalomycin
Synonyms 2-[2-Hydroxy-6-[1-[9-Hydroxy-2-[5-[5-(6-Hydroxy-3,5,6-Trimethyl-Tetrahydropyran-2-Yl)-3-Methyl-Tetrahydrofuran-2-Yl]-5-Methyl-Tetrahydrofuran-2-Yl]-2,8-Dimethyl-1,6-Dioxaspiro[4.5]Decan-7-Yl]Ethyl]-4-Methoxy-3,5-Dimethyl-Tetrahydropyran-2-Yl]Propanoic Acid; 2-[2-Hydroxy-6-[1-[9-Hydroxy-2-[5-[5-(6-Hydroxy-3,5,6-Trimethyl-2-Tetrahydropyranyl)-3-Methyl-2-Tetrahydrofuranyl]-5-Methyl-2-Tetrahydrofuranyl]-2,8-Dimethyl-1,6-Dioxaspiro[4.5]Decan-7-Yl]Ethyl]-4-Methoxy-3,5-Dimethyl-2-Tetrahydropyranyl]Propanoic Acid; 2-[2-Hydroxy-6-[1-[9-Hydroxy-2-[5-[5-(6-Hydroxy-3,5,6-Trimethyl-Tetrahydropyran-2-Yl)-3-Methyl-Tetrahydrofuran-2-Yl]-5-Methyl-Tetrahydrofuran-2-Yl]-2,8-Dimethyl-1,6-Dioxaspiro[4.5]Decan-7-Yl]Ethyl]-4-Methoxy-3,5-Dimethyl-Tetrahydropyran-2-Yl]Propionic Acid
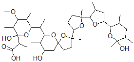
Molecular Structure CAS#: 62618-08-0, Mutalomycin
Molecular Formula C41H70O12
Molecular Weight 755.00
CAS Registry Number 62618-08-0
SMILES CC(C1OC(O)(C(C(OC)C1C)C)C(C(=O)O)C)C6OC5(OC(C4OC(C3OC(C2OC(O)(C(CC2C)C)C)CC3C)(CC4)C)(CC5)C)CC(O)C6C
InChI 1S/C41H70O12/c1-20-17-22(3)39(11,45)50-31(20)29-18-21(2)35(48-29)38(10)14-13-30(49-38)37(9)15-16-40(53-37)19-28(42)23(4)32(51-40)24(5)33-25(6)34(47-12)26(7)41(46,52-33)27(8)36(43)44/h20-35,42,45-46H,13-19H2,1-12H3,(H,43,44)
InChIKey WWEDNBWYGGJQOV-UHFFFAOYSA-N
Properties
Density 1.214g/cm3 (Cal.)
Boiling point 814.752°C at 760 mmHg (Cal.)
Flash point 236.261°C (Cal.)
Market Analysis Reports
Related Products
Musk ambrette;1...  Musk ketone;1-[...  Musks, civet;Ci...  Musk xylene;2,4...  Musk xylene-d  Mussaenoside  Mustardseed Oil...  Mustardsulphone...  Mustardsulphoxi...  Mustard, White,...  Mutanolysin  Mutolide;(3E,5S...  4(15),10(14)-Mu...  Muzolimine;D050...  MV151  Mycalamide A;(2...  Mycalolide-B;My...  Mycaminose;(2R,...  5-O-Mycaminosyl...  Mycaminosyltylo...