|
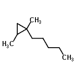
CAS#: 62238-04-4 Product: 1,2-Dimethyl-1-Pentylcyclopropane No suppilers available for the product. |
| Name | 1,2-Dimethyl-1-Pentylcyclopropane |
|---|---|
| Synonyms | 1,2-Dimethyl-1-pentylcyclopropane # |
| Molecular Structure | ![]() |
| Molecular Formula | C10H20 |
| Molecular Weight | 140.27 |
| CAS Registry Number | 62238-04-4 |
| SMILES | CC1(CCCCC)CC1C |
| InChI | 1S/C10H20/c1-4-5-6-7-10(3)8-9(10)2/h9H,4-8H2,1-3H3 |
| InChIKey | MIUGYZWCPHQTLS-UHFFFAOYSA-N |
| Density | 0.785g/cm3 (Cal.) |
|---|---|
| Boiling point | 157.153°C at 760 mmHg (Cal.) |
| Flash point | 38.804°C (Cal.) |
| Market Analysis Reports |