Online Database of Chemicals from Around the World

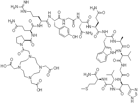
1-[1-[2-[4,7,10-Tris(carboxymethyl)-1,4,7,10-tetraazacyclododec-1-yl]acetyl]-L-proline]-4-L-tyrosine-bombesin
[CAS 593287-40-2]

List of Suppliers
Creative Peptides USA
www.creative-peptides.com
+1 (631) 624-4882
+1 (631) 614-7828
info@creative-peptides.com
Chemical manufacturer
chemBlink Standard supplier since 2010

Identification
ClassificationBiochemical >> Peptide
Name1-[1-[2-[4,7,10-Tris(carboxymethyl)-1,4,7,10-tetraazacyclododec-1-yl]acetyl]-L-proline]-4-L-tyrosine-bombesin
Molecular Structure1-[1-[2-[4,7,10-Tris(carboxymethyl)-1,4,7,10-tetraazacyclododec-1-yl]acetyl]-L-proline]-4-L-tyrosine-bombesin molecular structure (CAS 593287-40-2)
Molecular FormulaC90H136N28O25S
Molecular Weight2042.28
CAS Registry Number593287-40-2
Properties
Density1.50±0.1 g/cm3 (20 °C 760 Torr), Calc.*
*Calculated using Advanced Chemistry Development (ACD/Labs) Software V11.02 (©1994-2016 ACD/Labs)
Market Analysis Reports
Related Products
2-[4,7,10-Tris(...  2-[4,7,10-Tris(...  (1R-(1alpha,2al...  2-[1,2,2-Tris(c...  N-[2-[4,7,10-Tr...  [N-[2-[4,7,10-T...  N-[[4,7,10-Tris...  [N-[2-[4,7,10-T...  [N-[[4,7,10-Tri...  [N-[[4,7,10-Tri...  N-[[4,8,11-Tris...  2,4,6-Tris[(p-c...  1,3,5-Tris(4-ca...  1,3,5-Tris(4-ca...  2,4,6-Tris(4-ca...  Tris(2-Chlorobu...  Tris(2-chloro-1...  Tris(2-Chloroet...  1,1,3-Tris(2-Ch...  Tris(2-Chloroet...