Online Database of Chemicals from Around the World

3-Deoxo-3-Hydroxycandicidin D
[CAS 58591-23-4]

Suppliers
CAS#: 58591-23-4
Product: 3-Deoxo-3-Hydroxycandicidin D
No suppilers available for the product.
Identification
Name 3-Deoxo-3-Hydroxycandicidin D
Synonyms (23E,25E,27E,29E,31E,33E,35E)-22-(4-Amino-3,5-Dihydroxy-6-Methyl-Tetrahydropyran-2-Yl)Oxy-38-[6-(4-Aminophenyl)-4-Hydroxy-1,3-Dimethyl-6-Oxo-Hexyl]-4,10,12,14,18,20-Hexahydroxy-37-Methyl-2,8,16-Trioxo-1-Oxacyclooctatriaconta-23,25,27,29,31,33,35-Heptaene-19-Carboxylic Acid; (23E,25E,27E,29E,31E,33E,35E)-22-[(4-Amino-3,5-Dihydroxy-6-Methyl-2-Tetrahydropyranyl)Oxy]-38-[6-(4-Aminophenyl)-4-Hydroxy-1,3-Dimethyl-6-Oxohexyl]-4,10,12,14,18,20-Hexahydroxy-37-Methyl-2,8,16-Trioxo-1-Oxacyclooctatriaconta-23,25,27,29,31,33,35-Heptaene-19-Carboxylic Acid; (23E,25E,27E,29E,31E,33E,35E)-22-(4-Amino-3,5-Dihydroxy-6-Methyl-Tetrahydropyran-2-Yl)Oxy-38-[6-(4-Aminophenyl)-4-Hydroxy-6-Keto-1,3-Dimethyl-Hexyl]-4,10,12,14,18,20-Hexahydroxy-2,8,16-Triketo-37-Methyl-1-Oxacyclooctatriaconta-23,25,27,29,31,33,35-Heptaene-19-Carboxylic Acid
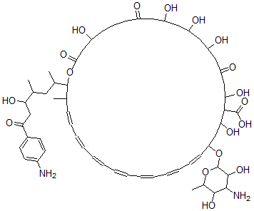
Molecular Structure CAS#: 58591-23-4, 3-Deoxo-3-Hydroxycandicidin D
Molecular Formula C59H86N2O18
Molecular Weight 1111.33
CAS Registry Number 58591-23-4
SMILES C3=C(C(=O)CC(O)C(CC(C2OC(=O)CC(O)CCCC(=O)CC(O)CC(O)CC(O)CC(=O)CC(O)C(C(O)CC(OC1OC(C(O)C(N)C1O)C)\C=C\C=C\C=C\C=C\C=C\C=C\C=C\C2C)C(=O)O)C)C)C=CC(=C3)N
InChI 1S/C59H86N2O18/c1-35-18-15-13-11-9-7-5-6-8-10-12-14-16-21-47(78-59-56(74)54(61)55(73)38(4)77-59)33-51(71)53(58(75)76)50(70)31-46(67)30-45(66)29-44(65)28-43(64)27-41(62)19-17-20-42(63)32-52(72)79-57(35)37(3)26-36(2)48(68)34-49(69)39-22-24-40(60)25-23-39/h5-16,18,21-25,35-38,42-45,47-48,50-51,53-57,59,63-66,68,70-71,73-74H,17,19-20,26-34,60-61H2,1-4H3,(H,75,76)/b6-5+,9-7+,10-8+,13-11+,14-12+,18-15+,21-16+
InChIKey BVEQUWMYNKLPDF-DVODSNNVSA-N
Market Analysis Reports
Related Products
20-Deoxocarnoso...  10-Deoxo-9,10-d...  9-Deoxo-12-deox...  20-Deoxo-5-O-[3...  5’-Deoxo Drospi...  6-De(2-Oxoethyl...  (9S)-9-Deoxo-9-...  15-Deoxoeucoste...  (9S)-9-Deoxo-9-...  11-Deoxo-18beta...  7'-Deoxo-7'-[(1...  (9S)-9-Deoxo-9-...  11-Deoxojervine...  23-Deoxojessic ...  (9S)-9-Deoxo-9-...  (9S)-9-Deoxo-9-...  28-Deoxonimboli...  S-Deoxo-6-oxo-f...  (9S)-9-Deoxo-9-...  20-Deoxo-20-(1-...