Online Database of Chemicals from Around the World

2-Amino-4,5-Bis(2-Methoxyethoxy)Benzoic Acid
[CAS 574738-66-2]

Suppliers
CAS#: 574738-66-2
Product: 2-Amino-4,5-Bis(2-Methoxyethoxy)Benzoic Acid
No suppilers available for the product.
Identification
Name 2-Amino-4,5-Bis(2-Methoxyethoxy)Benzoic Acid
Synonyms 2-Amino-4,5-bis-(2-methoxy-ethoxy)-benzoic acid
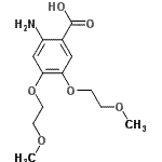
Molecular Structure CAS#: 574738-66-2, 2-Amino-4,5-Bis(2-Methoxyethoxy)Benzoic Acid
Molecular Formula C13H19NO6
Molecular Weight 285.29
CAS Registry Number 574738-66-2
SMILES OC(=O)c1cc(OCCOC)c(OCCOC)cc1N
InChI 1S/C13H19NO6/c1-17-3-5-19-11-7-9(13(15)16)10(14)8-12(11)20-6-4-18-2/h7-8H,3-6,14H2,1-2H3,(H,15,16)
InChIKey HUJDMSWRGMPHJD-UHFFFAOYSA-N
Properties
Density 1.235g/cm3 (Cal.)
Boiling point 455.788°C at 760 mmHg (Cal.)
Flash point 229.453°C (Cal.)
Refractive index 1.542 (Cal.)
Market Analysis Reports
Related Products
6-Amino-3',6'-B...  5-Amino-3',6'-B...  4-Amino-N-[4-[2...  N'-[4-[[5-Amino...  4-Amino-N-[4-[2...  5-Amino-1,4-Bis...  (2S)-2-Amino-3-...  5-Amino-N,N'-bi...  2-Amino-9-[(1R,...  (1R,2S,3S,4S)-4...  2-Amino-4,5-bis...  2-Amino-4,5-bis...  2-Amino-1,2-Bis...  2-Amino-4,5-bis...  2-Amino-4,5-bis...  4-Amino-1-{5-O-...  4-Amino-N-[2,6-...  2-Amino-4,6-Bis...  N-[4-Amino-2,6-...  (2S)-4-Amino-2-...