Online Database of Chemicals from Around the World

5''-Amino-4',5''-Dideoxybutirosin A
[CAS 55480-22-3]

Suppliers
CAS#: 55480-22-3
Product: 5''-Amino-4',5''-Dideoxybutirosin A
No suppilers available for the product.
Identification
Name 5''-Amino-4',5''-Dideoxybutirosin A
Synonyms 4-Amino-N-[5-Amino-4-[3-Amino-6-(Aminomethyl)-4-Hydroxy-Tetrahydropyran-2-Yl]Oxy-3-[5-(Aminomethyl)-3,4-Dihydroxy-Tetrahydrofuran-2-Yl]Oxy-2-Hydroxy-Cyclohexyl]-2-Hydroxy-Butanamide; 4-Amino-N-[5-Amino-4-[[3-Amino-6-(Aminomethyl)-4-Hydroxy-2-Tetrahydropyranyl]Oxy]-3-[[5-(Aminomethyl)-3,4-Dihydroxy-2-Tetrahydrofuranyl]Oxy]-2-Hydroxycyclohexyl]-2-Hydroxybutanamide; 4-Amino-N-[5-Amino-4-[3-Amino-6-(Aminomethyl)-4-Hydroxy-Tetrahydropyran-2-Yl]Oxy-3-[5-(Aminomethyl)-3,4-Dihydroxy-Tetrahydrofuran-2-Yl]Oxy-2-Hydroxy-Cyclohexyl]-2-Hydroxy-Butyramide
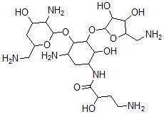
Molecular Structure CAS#: 55480-22-3, 5''-Amino-4',5''-Dideoxybutirosin A
Molecular Formula C21H42N6O10
Molecular Weight 538.60
CAS Registry Number 55480-22-3
SMILES C(C(C(NC1CC(C(C(C1O)OC2C(C(C(O2)CN)O)O)OC3C(C(CC(O3)CN)O)N)N)=O)O)CN
InChI 1S/C21H42N6O10/c22-2-1-10(28)19(33)27-9-4-8(25)17(36-20-13(26)11(29)3-7(5-23)34-20)18(14(9)30)37-21-16(32)15(31)12(6-24)35-21/h7-18,20-21,28-32H,1-6,22-26H2,(H,27,33)
InChIKey LRKPNNTVUJAOCJ-UHFFFAOYSA-N
Properties
Density 1.503g/cm3 (Cal.)
Boiling point 908.165°C at 760 mmHg (Cal.)
Flash point 503.04°C (Cal.)
Market Analysis Reports
Related Products
N-(1-Amino-4,5-...  N-(1-Amino-3,4-...  N-(2-Amino-1,2-...  N'-[(Z)-2-Amino...  N-[(Z)-2-Amino-...  N-[(Z)-2-Amino-...  2-Amino-2,2-Dic...  3-Amino-1-(11,1...  5'-Amino-2',5'-...  3'-Amino-2',3'-...  5''-Amino-3',5'...  3'-Amino-2',3'-...  4-Amino-1,4-Did...  3-Amino-1,4-Did...  4-Amino-N-[1-[(...  1-Amino-1,5-did...  2-Amino-9-(2,3-...  3-beta-O-(4-Ami...  2-Amino-2,6-did...  3beta-O-(4-Amin...