|
CAS#: 51595-87-0 Product: 6-(2-Furyl)-6-Methyl-2-Heptanone No suppilers available for the product. |
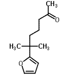
| Name | 6-(2-Furyl)-6-Methyl-2-Heptanone |
|---|---|
| Synonyms | 6-(2-Furyl)-6-methyl-2-heptanone # |
| Molecular Structure | ![]() |
| Molecular Formula | C12H18O2 |
| Molecular Weight | 194.27 |
| CAS Registry Number | 51595-87-0 |
| SMILES | O=C(CCCC(c1occc1)(C)C)C |
| InChI | 1S/C12H18O2/c1-10(13)6-4-8-12(2,3)11-7-5-9-14-11/h5,7,9H,4,6,8H2,1-3H3 |
| InChIKey | QCPZQFFDLABXTP-UHFFFAOYSA-N |
| Density | 0.961g/cm3 (Cal.) |
|---|---|
| Boiling point | 297.053°C at 760 mmHg (Cal.) |
| Flash point | 135.245°C (Cal.) |
| Market Analysis Reports |