Online Database of Chemicals from Around the World

3-[(2-Ethyl-2-Propenyl)Oxyiminomethyl]Rifamycin SV
[CAS 41776-62-9]

Suppliers
CAS#: 41776-62-9
Product: 3-[(2-Ethyl-2-Propenyl)Oxyiminomethyl]Rifamycin SV
No suppilers available for the product.
Identification
Name 3-[(2-Ethyl-2-Propenyl)Oxyiminomethyl]Rifamycin SV
Synonyms Brn 5418519; 2,7-(Epoxypentadeca(1,11,13)Trienimino)Naphtho(2,1-B)Furan-1,11(2H)-Dione, 3-Formyl-5,6,9,17,19,21-Hexahydroxy-23-Methoxy-2,4,12,16,18,20,22-Heptamethyl-, 21-Acetate, O-(2-Ethylprop-2-Enyl)Oxime
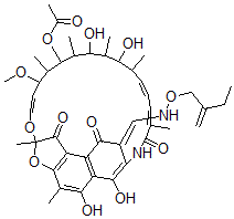
Molecular Structure CAS#: 41776-62-9, 3-[(2-Ethyl-2-Propenyl)Oxyiminomethyl]Rifamycin SV
Molecular Formula C43H56N2O13
Molecular Weight 808.92
CAS Registry Number 41776-62-9
SMILES C(ON/C=C2/C(=O)C1=C3C(=C(C4=C1C(=O)C(O/C=C/C(OC)C(C(OC(=O)C)C(C(O)C(C(O)C(C)\C=C\C=C(C(=O)NC2=C3O)\C)C)C)C)(O4)C)C)O)C(CC)=C
InChI 1S/C43H56N2O13/c1-12-20(2)19-56-44-18-28-33-38(51)31-30(37(28)50)32-40(26(8)36(31)49)58-43(10,41(32)52)55-17-16-29(54-11)23(5)39(57-27(9)46)25(7)35(48)24(6)34(47)21(3)14-13-15-22(4)42(53)45-33/h13-18,21,23-25,29,34-35,39,44,47-49,51H,2,12,19H2,1,3-11H3,(H,45,53)/b14-13+,17-16+,22-15-,28-18+
InChIKey JUASMYXCZAQXLV-AAECGSIOSA-N
Market Analysis Reports
Related Products
5-Ethyl-5-Prop-...  Ethyl propenyl ...  5-(1-Ethyl-1-Pr...  5-(1-Ethyl-1-Pr...  5-(1-Ethyl-1-Pr...  5-(1-Ethyl-1-Pr...  Ethyl (2S,3R)-3...  Ethyl 3-[(1E)-1...  Ethyl (2R,3S)-3...  3-[(1-Ethyl-2-P...  5-Ethyl-1-{[(1E...  5-(1-Ethyl-1-Pr...  5-Ethyl-2-Prop-...  Ethyl 2-Prop-2-...  (E)-Ethyl-1-Pro...  N-Ethyl-3-[(1E)...  N-Ethyl-N'-2-Pr...  N-Ethylpropiola...  Ethyl propiolat...  Ethyl Propiolat...