Online Database of Chemicals from Around the World

N-[1-[(2-Amino-2-Oxoethyl)Amino]-5-(Diaminomethylideneamino)-1-Oxopentan-2-Yl]-1-[7-(2-Amino-2-Oxoethyl)-10-(3-Amino-3-Oxopropyl)-13-Butan-2-Yl-16-[(4-Hydroxyphenyl)Methyl]-6,9,12,15,18-Pentaoxo1,2-Dithia-5,8,11,14,17-Pentazacycloicosane-4-Carbonyl]Pyrrolidine-2-Carboxamide
[CAS 38679-66-2]

Suppliers
CAS#: 38679-66-2
Product: N-[1-[(2-Amino-2-Oxoethyl)Amino]-5-(Diaminomethylideneamino)-1-Oxopentan-2-Yl]-1-[7-(2-Amino-2-Oxoethyl)-10-(3-Amino-3-Oxopropyl)-13-Butan-2-Yl-16-[(4-Hydroxyphenyl)Methyl]-6,9,12,15,18-Pentaoxo1,2-Dithia-5,8,11,14,17-Pentazacycloicosane-4-Carbonyl]Pyrrolidine-2-Carboxamide
No suppilers available for the product.
Identification
Name N-[1-[(2-Amino-2-Oxoethyl)Amino]-5-(Diaminomethylideneamino)-1-Oxopentan-2-Yl]-1-[7-(2-Amino-2-Oxoethyl)-10-(3-Amino-3-Oxopropyl)-13-Butan-2-Yl-16-[(4-Hydroxyphenyl)Methyl]-6,9,12,15,18-Pentaoxo1,2-Dithia-5,8,11,14,17-Pentazacycloicosane-4-Carbonyl]Pyrrolidine-2-Carboxamide
Synonyms 1-[7-(2-Amino-2-Oxo-Ethyl)-10-(3-Amino-3-Oxo-Propyl)-16-[(4-Hydroxyphenyl)Methyl]-6,9,12,15,18-Pentaoxo-13-Sec-Butyl-1,2-Dithia-5,8,11,14,17-Pentazacycloicosane-4-Carbonyl]-N-[1-[(2-Amino-2-Oxo-Ethyl)Carbamoyl]-4-Guanidino-Butyl]Pyrrolidine-2-Carboxamide; N-[1-[[(2-Amino-2-Oxoethyl)Amino]-Oxomethyl]-4-Guanidinobutyl]-1-[[7-(2-Amino-2-Oxoethyl)-10-(3-Amino-3-Oxopropyl)-16-[(4-Hydroxyphenyl)Methyl]-6,9,12,15,18-Pentaoxo-13-Sec-Butyl-1,2-Dithia-5,8,11,14,17-Pentazacycloicos-4-Yl]-Oxomethyl]-2-Pyrrolidinecarboxamide; 1-[7-(2-Amino-2-Keto-Ethyl)-10-(3-Amino-3-Keto-Propyl)-16-(4-Hydroxybenzyl)-6,9,12,15,18-Pentaketo-13-Sec-Butyl-1,2-Dithia-5,8,11,14,17-Pentazacycloicosane-4-Carbonyl]-N-[1-[(2-Amino-2-Keto-Ethyl)Carbamoyl]-4-Guanidino-Butyl]Pyrrolidine-2-Carboxamide
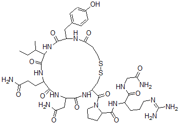
Molecular Structure CAS#: 38679-66-2, N-[1-[(2-Amino-2-Oxoethyl)Amino]-5-(Diaminomethylideneamino)-1-Oxopentan-2-Yl]-1-[7-(2-Amino-2-Oxoethyl)-10-(3-Amino-3-Oxopropyl)-13-Butan-2-Yl-16-[(4-Hydroxyphenyl)Methyl]-6,9,12,15,18-Pentaoxo1,2-Dithia-5,8,11,14,17-Pentazacycloicosane-4-Carbonyl]Pyrrolidine-2-Carboxamide
Molecular Formula C43H66N14O12S2
Molecular Weight 1035.20
CAS Registry Number 38679-66-2
SMILES C3=C(CC1NC(=O)CCSSCC(NC(=O)C(NC(=O)C(NC(=O)C(NC1=O)C(CC)C)CCC(=O)N)CC(=O)N)C(=O)N2C(CCC2)C(=O)NC(CCCN=C(N)N)C(=O)NCC(=O)N)C=CC(=C3)O
InChI 1S/C43H66N14O12S2/c1-3-22(2)35-41(68)53-26(12-13-31(44)59)37(64)54-28(19-32(45)60)38(65)55-29(21-71-70-17-14-34(62)51-27(39(66)56-35)18-23-8-10-24(58)11-9-23)42(69)57-16-5-7-30(57)40(67)52-25(6-4-15-49-43(47)48)36(63)50-20-33(46)61/h8-11,22,25-30,35,58H,3-7,12-21H2,1-2H3,(H2,44,59)(H2,45,60)(H2,46,61)(H,50,63)(H,51,62)(H,52,67)(H,53,68)(H,54,64)(H,55,65)(H,56,66)(H4,47,48,49)
InChIKey MKIGJWTYIAFGIM-UHFFFAOYSA-N
Properties
Density 1.562g/cm3 (Cal.)
Market Analysis Reports
Related Products
(2-Amino-4-oxo-...  (2-Amino-2-Oxoe...  4-(2-Amino-2-ox...  4-(2-Amino-2-Ox...  2-(2-Amino-2-Ox...  3-(2-Amino-2-ox...  2-Amino-2-oxoet...  [(2-Amino-2-oxo...  4-[(2-Amino-2-o...  N-[2-[(2-Amino-...  2-[(2-Amino-2-o...  2-Amino-2-Oxoet...  (2S)-N-[(2S)-1-...  2-Amino-2-Oxoet...  [1-[(2-Amino-2-...  N-[1-[(2-Amino-...  N-[1-[(2-amino-...  N-{(2S)-1-[(2-A...  4-[(2-Amino-2-o...  2-[(2-Amino-2-O...