Identification
| Name |
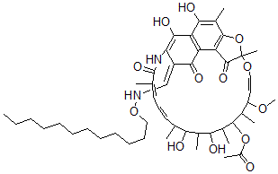
3-Formylrifamycin SV O-dodecyloxime |
| Synonyms |
2,7-(Epoxypentadeca(1,11,13)Trienimino)Naphtho(2,1-B)Furan-1,11(2H)-Dione, 3-Formyl-5,6,9,17,19,21-Hexahydroxy-23-Methoxy-2,4,12,16,18,20,22-Heptamethyl-, 21-Acetate, O-Dodecyloxime; 3-Formylrifamycin Sv O-Dodecyloxime |
|
| Molecular Structure |
 |
| Molecular Formula |
C50H72N2O13 |
| Molecular Weight |
909.12 |
| CAS Registry Number |
38546-31-5 |
| SMILES |
C(CCCCCON/C=C2/C(=O)C1=C3C(=C(C4=C1C(=O)C(O/C=C/C(OC)C(C(OC(=O)C)C(C(O)C(C(O)C(C)\C=C\C=C(C(=O)NC2=C3O)\C)C)C)C)(O4)C)C)O)CCCCCC |
| InChI |
1S/C50H72N2O13/c1-11-12-13-14-15-16-17-18-19-20-25-63-51-27-35-40-45(58)38-37(44(35)57)39-47(33(7)43(38)56)65-50(9,48(39)59)62-26-24-36(61-10)30(4)46(64-34(8)53)32(6)42(55)31(5)41(54)28(2)22-21-23-29(3)49(60)52-40/h21-24,26-28,30-32,36,41-42,46,51,54-56,58H,11-20,25H2,1-10H3,(H,52,60)/b22-21+,26-24+,29-23-,35-27+ |
| InChIKey |
OYDMCZPFEMEFMF-HVLGUIBYSA-N |
|