| Achemica | Switzerland | |||
|---|---|---|---|---|
![]() |
+41 (24) 466-2929 | |||
![]() |
contact@achemica.com | |||
| Chemical manufacturer since 2010 | ||||
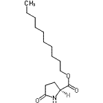
| Name | Decyl 5-Oxo-L-Prolinate |
|---|---|
| Synonyms | Proline,5-oxo-,decylester |
| Molecular Structure | ![]() |
| Molecular Formula | C15H27NO3 |
| Molecular Weight | 269.38 |
| CAS Registry Number | 37673-23-7 |
| EINECS | 253-591-4 |
| SMILES | O=C(OCCCCCCCCCC)[C@@H]1CCC(=O)N1 |
| InChI | 1S/C15H27NO3/c1-2-3-4-5-6-7-8-9-12-19-15(18)13-10-11-14(17)16-13/h13H,2-12H2,1H3,(H,16,17)/t13-/m0/s1 |
| InChIKey | YWXABWYIMLHFSQ-ZDUSSCGKSA-N |
| Density | 1.007g/cm3 (Cal.) |
|---|---|
| Boiling point | 411.999°C at 760 mmHg (Cal.) |
| Flash point | 202.97°C (Cal.) |
| Market Analysis Reports |