Online Database of Chemicals from Around the World

(3S)-3,6-Diamino-N-[[(2S,5S,8Z,11S,15S)-15-Amino-11-[(4R)-2-Amino-3,4,5,6-Tetrahydropyrimidin-4-Yl]-8-[(Carbamoylamino)Methylidene]-2-(Hydroxymethyl)-3,6,9,12,16-Pentaoxo-1,4,7,10,13-Pentazacyclohexadec-5-Yl]Methyl]Hexanamide
[CAS 37280-35-6]

Suppliers
CAS#: 37280-35-6
Product: (3S)-3,6-Diamino-N-[[(2S,5S,8Z,11S,15S)-15-Amino-11-[(4R)-2-Amino-3,4,5,6-Tetrahydropyrimidin-4-Yl]-8-[(Carbamoylamino)Methylidene]-2-(Hydroxymethyl)-3,6,9,12,16-Pentaoxo-1,4,7,10,13-Pentazacyclohexadec-5-Yl]Methyl]Hexanamide
No suppilers available for the product.
Identification
Name (3S)-3,6-Diamino-N-[[(2S,5S,8Z,11S,15S)-15-Amino-11-[(4R)-2-Amino-3,4,5,6-Tetrahydropyrimidin-4-Yl]-8-[(Carbamoylamino)Methylidene]-2-(Hydroxymethyl)-3,6,9,12,16-Pentaoxo-1,4,7,10,13-Pentazacyclohexadec-5-Yl]Methyl]Hexanamide
Synonyms (3S)-3,6-Diamino-N-[[(2S,5S,8Z,11S,15S)-15-Amino-11-[(4R)-2-Amino-3,4,5,6-Tetrahydropyrimidin-4-Yl]-2-(Hydroxymethyl)-3,6,9,12,16-Pentaoxo-8-(Ureidomethylene)-1,4,7,10,13-Pentazacyclohexadec-5-Yl]Methyl]Hexanamide; (3S)-3,6-Diamino-N-[[(2S,5S,8Z,11S,15S)-15-Amino-11-[(4R)-2-Amino-3,4,5,6-Tetrahydropyrimidin-4-Yl]-3,6,9,12,16-Pentaketo-2-Methylol-8-(Ureidomethylene)-1,4,7,10,13-Pentazacyclohexadec-5-Yl]Methyl]Hexanamide; (3S)-3,6-Diamino-N-[[(2S,5S,8Z,11S,15S)-15-Amino-8-[(Aminocarbonylamino)Methylidene]-11-[(4R)-2-Amino-3,4,5,6-Tetrahydropyrimidin-4-Yl]-2-(Hydroxymethyl)-3,6,9,12,16-Pentaoxo-1,4,7,10,13-Pentazacyclohexadec-5-Yl]Methyl]Hexanamide
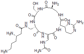
Molecular Structure CAS#: 37280-35-6, (3S)-3,6-Diamino-N-[[(2S,5S,8Z,11S,15S)-15-Amino-11-[(4R)-2-Amino-3,4,5,6-Tetrahydropyrimidin-4-Yl]-8-[(Carbamoylamino)Methylidene]-2-(Hydroxymethyl)-3,6,9,12,16-Pentaoxo-1,4,7,10,13-Pentazacyclohexadec-5-Yl]Methyl]Hexanamide
Molecular Formula C25H44N14O8
Molecular Weight 668.71
CAS Registry Number 37280-35-6
SMILES [C@H]1(NC(=NCC1)N)[C@@H]2NC(=O)\C(NC(=O)[C@@H](NC(=O)[C@@H](NC(=O)[C@@H](N)CNC2=O)CO)CNC(=O)C[C@@H](N)CCCN)=C\NC(=O)N
InChI 1S/C25H44N14O8/c26-4-1-2-11(27)6-17(41)32-8-14-20(43)35-15(9-34-25(30)47)21(44)39-18(13-3-5-31-24(29)38-13)23(46)33-7-12(28)19(42)37-16(10-40)22(45)36-14/h9,11-14,16,18,40H,1-8,10,26-28H2,(H,32,41)(H,33,46)(H,35,43)(H,36,45)(H,37,42)(H,39,44)(H3,29,31,38)(H3,30,34,47)/b15-9-/t11-,12-,13+,14-,16-,18-/m0/s1
InChIKey JNIIDKODPGHQSS-MPSMQSNBSA-N
Properties
Density 1.754g/cm3 (Cal.)
Market Analysis Reports
Related Products
2,4-Diamino-5-a...  2,5-Diaminoadip...  3,6-Diamino-3aH...  2-[[[(6S)-2,6-D...  2-[[[(6S)-2,6-D...  2-[4,6-Diamino-...  (2R,3R,4R,5R)-2...  (1S,2S,3R,4S,6R...  (1S,2S,3R,4S,6R...  2-[4,6-Diamino-...  (3S)-3,6-Diamin...  3,5-Diamino-N-[...  3,5-Diamino-N-[...  4,8-Diamino-N-[...  (E)-2,10-diamin...  (5Z)-2,10-Diami...  2,4-Diamino-5-(...  (1R,2S,3S,4R,6S...  (1R,2S,3S,4R,6S...  (1S,2S,3R,4S,6R...