Online Database of Chemicals from Around the World

1-(2,4-Dichlorophenyl)-1-Nonen-3-One
[CAS 36383-93-4]

Suppliers
Achemica Switzerland
+41 (24) 466-2929
contact@achemica.com
Chemical manufacturer since 2010
Identification
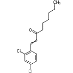
Name 1-(2,4-Dichlorophenyl)-1-Nonen-3-One
Synonyms NSC143296
Molecular Structure CAS#: 36383-93-4, 1-(2,4-Dichlorophenyl)-1-Nonen-3-One
Molecular Formula C15H18Cl2O
Molecular Weight 285.21
CAS Registry Number 36383-93-4
SMILES Clc1cc(Cl)ccc1C=CC(=O)CCCCCC
InChI 1S/C15H18Cl2O/c1-2-3-4-5-6-14(18)10-8-12-7-9-13(16)11-15(12)17/h7-11H,2-6H2,1H3
InChIKey GYUAJPUNRBVZJZ-UHFFFAOYSA-N
Properties
Density 1.139g/cm3 (Cal.)
Boiling point 401.266°C at 760 mmHg (Cal.)
Flash point 169.603°C (Cal.)
Market Analysis Reports
Related Products
(3,4-Dichloroph...  (3,5-Dichloroph...  (5Z)-1-(2,5-Dic...  N-[4-(2,5-Dichl...  N-(2,6-Dichloro...  1-(2,4-Dichloro...  2-(2,4-Dichloro...  3,5-Dichlorophe...  (3,4-Dichloroph...  5-(2,4-Dichloro...  1-(2,6-Dichloro...  1-(3,4-Dichloro...  2-[1-(3,4-Dichl...  alpha-(2,4-Dich...  5-(2,4-Dichloro...  5-(2,4-Dichloro...  2-[5-(3,4-Dichl...  N-(2,6-Dichloro...  3,5-Dichloro-6-...  3-(3,4-Dichloro...