Online Database of Chemicals from Around the World

[(2S,3S,4R,6S)-6-[(2R,3S,4R,5R,6S)-4-Dimethylamino-5-Hydroxy-6-[[(4R,5S,6S,7R,9R,11E,13E,16R)-5-Methoxy-9,16-Dimethyl-2,10-Dioxo-7-(2-Oxoethyl)-4-Propanoyloxy-1-Oxacyclohexadeca-11,13-Dien-6-Yl]Oxy]-2-Methyloxan-3-Yl]Oxy-4-Hydroxy-2,4-Dimethyloxan-3-Yl] Propanoate
[CAS 36025-69-1]

Suppliers
CAS#: 36025-69-1
Product: [(2S,3S,4R,6S)-6-[(2R,3S,4R,5R,6S)-4-Dimethylamino-5-Hydroxy-6-[[(4R,5S,6S,7R,9R,11E,13E,16R)-5-Methoxy-9,16-Dimethyl-2,10-Dioxo-7-(2-Oxoethyl)-4-Propanoyloxy-1-Oxacyclohexadeca-11,13-Dien-6-Yl]Oxy]-2-Methyloxan-3-Yl]Oxy-4-Hydroxy-2,4-Dimethyloxan-3-Yl] Propanoate
No suppilers available for the product.
Identification
Name [(2S,3S,4R,6S)-6-[(2R,3S,4R,5R,6S)-4-Dimethylamino-5-Hydroxy-6-[[(4R,5S,6S,7R,9R,11E,13E,16R)-5-Methoxy-9,16-Dimethyl-2,10-Dioxo-7-(2-Oxoethyl)-4-Propanoyloxy-1-Oxacyclohexadeca-11,13-Dien-6-Yl]Oxy]-2-Methyloxan-3-Yl]Oxy-4-Hydroxy-2,4-Dimethyloxan-3-Yl] Propanoate
Synonyms [(2S,3S,4R,6S)-6-[(2R,3S,4R,5R,6S)-4-Dimethylamino-5-Hydroxy-6-[[(4R,5S,6S,7R,9R,11E,13E,16R)-5-Methoxy-9,16-Dimethyl-2,10-Dioxo-7-(2-Oxoethyl)-4-Propanoyloxy-1-Oxacyclohexadeca-11,13-Dien-6-Yl]Oxy]-2-Methyl-Tetrahydropyran-3-Yl]Oxy-4-Hydroxy-2,4-Dimethyl-Tetrahydropyran-3-Yl] Propanoate; Propanoic Acid [(2S,3S,4R,6S)-6-[[(2R,3S,4R,5R,6S)-4-Dimethylamino-5-Hydroxy-6-[[(4R,5S,6S,7R,9R,11E,13E,16R)-5-Methoxy-9,16-Dimethyl-2,10-Dioxo-7-(2-Oxoethyl)-4-(1-Oxopropoxy)-1-Oxacyclohexadeca-11,13-Dien-6-Yl]Oxy]-2-Methyl-3-Tetrahydropyranyl]Oxy]-4-Hydroxy-2,4-Dimethyl-3-Tetrahydropyranyl] Ester; Propionic Acid [(2S,3S,4R,6S)-6-[(2R,3S,4R,5R,6S)-6-[[(4R,5S,6S,7R,9R,11E,13E,16R)-2,10-Diketo-7-(2-Ketoethyl)-5-Methoxy-9,16-Dimethyl-4-Propionyloxy-1-Oxacyclohexadeca-11,13-Dien-6-Yl]Oxy]-4-Dimethylamino-5-Hydroxy-2-Methyl-Tetrahydropyran-3-Yl]Oxy-4-Hydroxy-2,4-Dimethyl-Tetrahydropyran-3-Yl] Ester
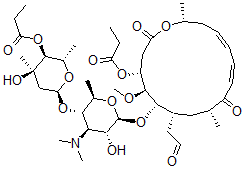
Molecular Structure CAS#: 36025-69-1, [(2S,3S,4R,6S)-6-[(2R,3S,4R,5R,6S)-4-Dimethylamino-5-Hydroxy-6-[[(4R,5S,6S,7R,9R,11E,13E,16R)-5-Methoxy-9,16-Dimethyl-2,10-Dioxo-7-(2-Oxoethyl)-4-Propanoyloxy-1-Oxacyclohexadeca-11,13-Dien-6-Yl]Oxy]-2-Methyloxan-3-Yl]Oxy-4-Hydroxy-2,4-Dimethyloxan-3-Yl] Propanoate
Molecular Formula C41H65NO15
Molecular Weight 811.96
CAS Registry Number 36025-69-1
SMILES [C@H]2(O[C@@H]([C@@H](O[C@@H]1O[C@H]([C@H](OC(=O)CC)[C@](O)(C1)C)C)[C@H](N(C)C)[C@H]2O)C)O[C@@H]3[C@@H](OC)[C@H](OC(=O)CC)CC(O[C@@H](C/C=C/C=C/C(=O)[C@@H](C[C@@H]3CC=O)C)C)=O
InChI 1S/C41H65NO15/c1-11-30(45)54-29-21-32(47)51-24(4)16-14-13-15-17-28(44)23(3)20-27(18-19-43)37(38(29)50-10)57-40-35(48)34(42(8)9)36(25(5)53-40)56-33-22-41(7,49)39(26(6)52-33)55-31(46)12-2/h13-15,17,19,23-27,29,33-40,48-49H,11-12,16,18,20-22H2,1-10H3/b14-13+,17-15+/t23-,24-,25-,26+,27+,29-,33+,34-,35-,36-,37+,38+,39+,40+,41-/m1/s1
InChIKey POOQYAXQHUANTP-BCGBQJBESA-N
Market Analysis Reports
Related Products
5-Dimethylamino...  [6-[4-Dimethyla...  [6-[4-Dimethyla...  [6-[4-Dimethyla...  10-[4-Dimethyla...  (9R,10R)-10-[(2...  N-[(2R,3R,4R,5S...  1-Dimethylamino...  5-(Dimethylamin...  [6-[4-Dimethyla...  10-[4-Dimethyla...  2-(Dimethylamin...  2-[(Dimethylami...  3-Dimethylamino...  4-[(Dimethylami...  (9R,10R)-7-[(2R...  10-[4-Dimethyla...  4-Dimethylamino...  [4-Dimethylamin...  (2R,3R,4S,5S,6R...