| Achemica | Switzerland | |||
|---|---|---|---|---|
![]() |
+41 (24) 466-2929 | |||
![]() |
contact@achemica.com | |||
| Chemical manufacturer since 2010 | ||||
| Atomax Chemicals Co., Ltd. | China | |||
|---|---|---|---|---|
![]() |
+86 13417589054/ | |||
![]() |
info@atomaxchem.com,atomax.chemicals@gmail.com | |||
![]() |
QQ Chat | |||
| Chemical manufacturer | ||||
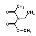
| Name | Methyl Acetyl(Ethyl)Carbamate |
|---|---|
| Synonyms | methyl acetyl(ethyl)carbamate |
| Molecular Structure | ![]() |
| Molecular Formula | C6H11NO3 |
| Molecular Weight | 145.16 |
| CAS Registry Number | 347909-86-8 |
| SMILES | CCN(C(=O)C)C(=O)OC |
| InChI | 1S/C6H11NO3/c1-4-7(5(2)8)6(9)10-3/h4H2,1-3H3 |
| InChIKey | CRWLLTODOZOYMF-UHFFFAOYSA-N |
| Density | 1.072g/cm3 (Cal.) |
|---|---|
| Boiling point | 244.937°C at 760 mmHg (Cal.) |
| Flash point | 101.935°C (Cal.) |
| Refractive index | 1.435 (Cal.) |
| Market Analysis Reports |