Online Database of Chemicals from Around the World

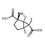
(1S,2R,5S,6S)-2-Amino-6-Fluorobicyclo[3.1.0]Hexane-2,6-Dicarboxylic Acid
[CAS 321903-59-7]

Suppliers
Achemica Switzerland
+41 (24) 466-2929
contact@achemica.com
Chemical manufacturer since 2010
Atomax Chemicals Co., Ltd. China
+86 13417589054/
info@atomaxchem.com,atomax.chemicals@gmail.com
QQ Chat
Chemical manufacturer
Identification
Name (1S,2R,5S,6S)-2-Amino-6-Fluorobicyclo[3.1.0]Hexane-2,6-Dicarboxylic Acid
Synonyms (1S,2R,5S,6S)-2-amino-6-fluorobicyclo[3.1.0]hexane-2,6-dicarboxylic acid
Molecular Structure CAS#: 321903-59-7, (1S,2R,5S,6S)-2-Amino-6-Fluorobicyclo[3.1.0]Hexane-2,6-Dicarboxylic Acid
Molecular Formula C8H10FNO4
Molecular Weight 203.17
CAS Registry Number 321903-59-7
SMILES F[C@]1(C(=O)O)[C@@H]2[C@@](N)(C(=O)O)CC[C@H]12
InChI 1S/C8H10FNO4/c9-8(6(13)14)3-1-2-7(10,4(3)8)5(11)12/h3-4H,1-2,10H2,(H,11,12)(H,13,14)/t3-,4-,7+,8-/m0/s1
InChIKey GLDRBCJXSGSXEU-ZLKDGBPZSA-N
Properties
Density 1.638g/cm3 (Cal.)
Boiling point 363.7°C at 760 mmHg (Cal.)
Flash point 173.76°C (Cal.)
Refractive index 1.593 (Cal.)
Market Analysis Reports
Related Products
3-Amino-2-(2-fl...  3-Amino-2-(4-fl...  6-Amino-3-(2-fl...  1-(2-Amino-4-fl...  (1R,2R,3S,5S,6R...  (1R,2S,3S,5S,6R...  (1S,2S,3S,5R,6S...  (1R,2R,3R,5S,6R...  (1R,2S,5R,6S)-2...  (1R,2S,5R,6R)-2...  (1S,2S,3R,5R,6S...  (1S,2R,4S,5S,6S...  (1R,5R,6R)-2-Am...  (1R,5R,6R)-2-Am...  3-Amino-4'-fluo...  4-Amino-4'-Fluo...  5'-Amino-2'-Flu...  4'-Amino-3'-flu...  4'-Amino-3'-flu...  2-Amino-2'-fluo...