Online Database of Chemicals from Around the World

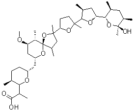
2-[(3S,6R)-6-{[(5R,7R,9R,10S)-2-{(3'S,5'R)-5'-[(2S,3S,5R,6S)-6-Hydroxy-3,5,6-Trimethyltetrahydro-2H-Pyran-2-Yl]-2,3'-Dimethyloctahydro-2,2'-Bifuran-5-Yl}-9-Methoxy-2,4,10-Trimethyl-1,6-Dioxaspiro[4.5] Dec-7-Yl]Methyl}-3-Methyltetrahydro-2H-Pyran-2-Yl]Propanoic Acid
[CAS 31357-58-1]

Suppliers
Alfa Chemistry USA
+1 (201) 478-8534
inquiry@alfa-chemistry.com
Chemical distributor since 2012
chemBlink standard supplier since 2012
Identification
Name 2-[(3S,6R)-6-{[(5R,7R,9R,10S)-2-{(3'S,5'R)-5'-[(2S,3S,5R,6S)-6-Hydroxy-3,5,6-Trimethyltetrahydro-2H-Pyran-2-Yl]-2,3'-Dimethyloctahydro-2,2'-Bifuran-5-Yl}-9-Methoxy-2,4,10-Trimethyl-1,6-Dioxaspiro[4.5] Dec-7-Yl]Methyl}-3-Methyltetrahydro-2H-Pyran-2-Yl]Propanoic Acid
Synonyms 30-Deoxynigericin; Desoxynigericin; Grisorixin
Molecular Structure CAS#: 31357-58-1, 2-[(3S,6R)-6-{[(5R,7R,9R,10S)-2-{(3'S,5'R)-5'-[(2S,3S,5R,6S)-6-Hydroxy-3,5,6-Trimethyltetrahydro-2H-Pyran-2-Yl]-2,3'-Dimethyloctahydro-2,2'-Bifuran-5-Yl}-9-Methoxy-2,4,10-Trimethyl-1,6-Dioxaspiro[4.5] Dec-7-Yl]Methyl}-3-Methyltetrahydro-2H-Pyran-2-Yl]Propanoic Acid
Molecular Formula C40H68O10
Molecular Weight 708.96
CAS Registry Number 31357-58-1
SMILES O=C(O)C(C)C1O[C@H](CC[C@@H]1C)C[C@H]6O[C@]2(OC(CC2C)(C)C5OC(C)(C4O[C@@H]([C@H]3O[C@@](O)(C)[C@H](C)C[C@@H]3C)C[C@@H]4C)CC5)[C@H]([C@H](OC)C6)C
InChI 1S/C40H68O10/c1-21-12-13-28(45-33(21)26(6)36(41)42)18-29-19-30(44-11)27(7)40(47-29)25(5)20-38(9,50-40)32-14-15-37(8,48-32)35-23(3)17-31(46-35)34-22(2)16-24(4)39(10,43)49-34/h21-35,43H,12-20H2,1-11H3,(H,41,42)/t21-,22-,23-,24+,25?,26?,27-,28+,29+,30+,31+,32?,33?,34-,35?,37?,38?,39-,40+/m0/s1
InChIKey ZITSQIZMRMDQLE-FWKMWRKHSA-N
Properties
Density 1.161g/cm3 (Cal.)
Boiling point 749.583°C at 760 mmHg (Cal.)
Flash point 216.895°C (Cal.)
Market Analysis Reports
Related Products
(E)-N-Hydroxy-1...  3-Hydroxy-2,6,8...  Hydroxytrimethy...  (8S,9S,10R,13S,...  5'-hydroxy-2',5...  Hydroxytrimethy...  3-Hydroxy-2,10,...  [3,3'-{8-[(4E,8...  5-[(6aR,10aR)-1...  (2E,4E)-5-(5-Hy...  8-Hydroxy-1,3,8...  (3Z,5Z,9Z,13Z,1...  (2R,3R)-3-Hydro...  (17Z)-4-Hydroxy...  [(2E)-2-[(1R,6R...  4-Hydroxy-3,6,1...  10-Hydroxy-3,6,...  3-Hydroxy-2,2,4...  (4R,7R,8xi,9alp...  (4R,7R,8xi,9bet...