Online Database of Chemicals from Around the World

Uridylyl(3'->5')uridine ammonium salt
[CAS 27552-95-0]

Suppliers
Carbosynth China Ltd. China
+86 (512) 6260-5585
sales@carbosynth.com
QQ Chat
Chemical manufacturer since 2006
Chemical distributor since 2006
chemBlink massive supplier since 2016
Identification
Name Uridylyl(3'->5')uridine ammonium salt
Synonyms Uridylyl(3¡ä¡ú5¡ä)uridine ammonium salt; Uridylyl(3'->5')uridine ammonium salt
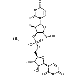
Molecular Structure CAS#: 27552-95-0, Uridylyl(3'->5')uridine ammonium salt
Molecular Formula C18H26N5O14P
Molecular Weight 567.40
CAS Registry Number 27552-95-0
SMILES O=C1\C=C/N(C(=O)N1)[C@@H]4O[C@H](CO)[C@@H](OP(=O)(O)OC[C@H]3O[C@@H](N\2C(=O)NC(=O)/C=C/2)[C@H](O)[C@@H]3O)[C@H]4O.N
InChI 1S/C18H23N4O14P.H3N/c23-5-7-14(13(28)16(34-7)22-4-2-10(25)20-18(22)30)36-37(31,32)33-6-8-11(26)12(27)15(35-8)21-3-1-9(24)19-17(21)29;/h1-4,7-8,11-16,23,26-28H,5-6H2,(H,31,32)(H,19,24,29)(H,20,25,30);1H3/t7-,8-,11-,12-,13-,14-,15-,16-;/m1./s1
InChIKey VPXDHZMLJOJKOX-ZNFCZCJPSA-N
Properties
Boiling point 895.5°C at 760 mmHg (Cal.)
Flash point 495.4°C (Cal.)
Refractive index (Cal.)
Market Analysis Reports
Related Products
Uridine-5'-trip...  5'-Uridylic aci...  Uridylic Acid;[...  5-Uridylic acid...  5'-Uridylic aci...  Uridylyl-(2'-5'...  Uridylyl-(3'-5'...  (S)-Uridylyl-(3...  Uridylyl-(3',5'...  Uridylyl(2'->5'...  Urinastatin;9-(...  Urobilinogen;3-...  Urocanic acid;4...  Urocortin (rat)...  Urodilatin;Anp ...  Urodiolenone;(4...  Urofollitrophin...  Uroguanylin;ASN...  Urokinase;Uroki...  Urokinase