Online Database of Chemicals from Around the World

Solubilised Vat Blue 6
[CAS 2519-28-0]

Suppliers
CAS#: 2519-28-0
Product: Solubilised Vat Blue 6
No suppilers available for the product.
Identification
Classification Dyes and pigments >> Dyes >> Reduced dye
Name Solubilised Vat Blue 6
Synonyms 5,9,14,18-Anthrazinetetrol, 7,16-Dichloro-6,15-Dihydro-, Tetrakis(Hydrogen Sulfate) (Ester), Tetrasodium Salt
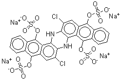
Molecular Structure CAS#: 2519-28-0, Solubilised Vat Blue 6
Molecular Formula C28H12Cl2N2Na4O16S4
Molecular Weight 923.51
CAS Registry Number 2519-28-0
EINECS 219-744-4
SMILES C5=C(Cl)C1=C(NC3=C(N1)C2=C(O[S]([O-])(=O)=O)C4=C(C(=C2C=C3Cl)O[S]([O-])(=O)=O)C=CC=C4)C6=C5C(=C7C(=C6O[S]([O-])(=O)=O)C=CC=C7)O[S]([O-])(=O)=O.[Na+].[Na+].[Na+].[Na+]
InChI 1S/C28H16Cl2N2O16S4.4Na/c29-17-9-15-19(27(47-51(39,40)41)13-7-3-1-5-11(13)25(15)45-49(33,34)35)23-21(17)32-24-20-16(10-18(30)22(24)31-23)26(46-50(36,37)38)12-6-2-4-8-14(12)28(20)48-52(42,43)44;;;;/h1-10,31-32H,(H,33,34,35)(H,36,37,38)(H,39,40,41)(H,42,43,44);;;;/q;4*+1/p-4
InChIKey BBUUHUCPYAPBCE-UHFFFAOYSA-J
Market Analysis Reports
Related Products
Solpadeine;Morp...  Solpecainol;(1R...  Solsperse 3000  Solstitialin;3,...  Solubilised Sul...  C.I. Solubilise...  C.I. Solubilise...  C.I. Solubilise...  Solubilised Sul...  C.I. Solubilise...  Solubilised Vat...  Solubilised Vat...  Solutan;Potassi...  Solutions, Coba...  Solutol Hs 15;1...  Solvent Black 2...  Solvent Black 2...  Solvent Black 2...  Solvent Black 3...  Solvent Black 3...