Online Database of Chemicals from Around the World

Behenyl-Coenzyme A
[CAS 24330-89-0]

Suppliers
CAS#: 24330-89-0
Product: Behenyl-Coenzyme A
No suppilers available for the product.
Identification
Name Behenyl-Coenzyme A
Synonyms S-[2-[3-[[(2R)-4-[[[(2R,3S,4R,5R)-5-(6-Aminopurin-9-Yl)-4-Hydroxy-3-Phosphonooxy-Tetrahydrofuran-2-Yl]Methoxy-Hydroxy-Phosphoryl]Oxy-Hydroxy-Phosphoryl]Oxy-2-Hydroxy-3,3-Dimethyl-Butanoyl]Amino]Propanoylamino]Ethyl] Docosanethioate; Docosanethioic Acid S-[2-[[3-[[(2R)-4-[[[(2R,3S,4R,5R)-5-(6-Amino-9-Purinyl)-4-Hydroxy-3-Phosphonooxy-2-Tetrahydrofuranyl]Methoxy-Hydroxyphosphoryl]Oxy-Hydroxyphosphoryl]Oxy-2-Hydroxy-3,3-Dimethyl-1-Oxobutyl]Amino]-1-Oxopropyl]Amino]Ethyl] Ester; Docosanethioic Acid S-[2-[3-[[(2R)-4-[[[(2R,3S,4R,5R)-5-(6-Aminopurin-9-Yl)-4-Hydroxy-3-Phosphonooxy-Tetrahydrofuran-2-Yl]Methoxy-Hydroxy-Phosphoryl]Oxy-Hydroxy-Phosphoryl]Oxy-2-Hydroxy-3,3-Dimethyl-Butanoyl]Amino]Propanoylamino]Ethyl] Ester
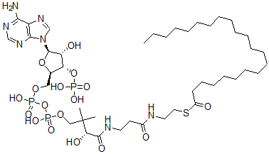
Molecular Structure CAS#: 24330-89-0, Behenyl-Coenzyme A
Molecular Formula C43H78N7O17P3S
Molecular Weight 1090.11
CAS Registry Number 24330-89-0
SMILES [C@H]1(O[C@@H]([C@@H](O[P](=O)(O)O)[C@H]1O)CO[P](O[P](OCC([C@@H](O)C(=O)NCCC(=O)NCCSC(=O)CCCCCCCCCCCCCCCCCCCCC)(C)C)(=O)O)(=O)O)[N]2C3=C(N=C2)C(=NC=N3)N
InChI 1S/C43H78N7O17P3S/c1-4-5-6-7-8-9-10-11-12-13-14-15-16-17-18-19-20-21-22-23-34(52)71-27-26-45-33(51)24-25-46-41(55)38(54)43(2,3)29-64-70(61,62)67-69(59,60)63-28-32-37(66-68(56,57)58)36(53)42(65-32)50-31-49-35-39(44)47-30-48-40(35)50/h30-32,36-38,42,53-54H,4-29H2,1-3H3,(H,45,51)(H,46,55)(H,59,60)(H,61,62)(H2,44,47,48)(H2,56,57,58)/t32-,36-,37-,38+,42-/m1/s1
InChIKey NDDZLVOCGALPLR-GNSUAQHMSA-N
Properties
Density 1.463g/cm3 (Cal.)
Market Analysis Reports
Related Products
Befuraline Hydr...  Behenamidopropy...  Behenamidopropy...  Beheneth-5  Behenic Acid Ca...  Behenic Acid Pa...  Behenic Anhydri...  Behenolic Acid;...  Behenyl Acetate...  Behenyl Acrylat...  Behenyl Laurate...  Behenyl Methacr...  Behenyl Palmita...  Behenyl Stearat...  Behenyltrimethy...  Beidellite;Calc...  3-05-00-02461 (...  Beiwutine;Beiwu...  Bekanamycin;(2R...  Belamcandol B