Online Database of Chemicals from Around the World

Diethylenetriaminepenta(methylenephosphonicacid) sodium salt
[CAS 22042-96-2]

List of Suppliers
Kelien Water Purification Technology Co., Ltd. China
www.kelien.com
+86 (519) 8366-1998
+86 (519) 8366-1152
info@kelien.com
Chemical manufacturer
chemBlink Standard supplier since 2005
Shandong Taihe Water Treatment Co., Ltd. China
www.thwater.net
+86 (632) 511-3066
+86 (632) 346-0156
th@thwater.com
Chemical manufacturer
chemBlink Standard supplier since 2008
Simagchem Corporation China
www.simagchem.com
+86 13806087780
+86 (592) 268-0237
sale@simagchem.com
Chemical manufacturer since 2002
chemBlink Standard supplier since 2008
Changzhou Runyang Chemical Co., Ltd. China
www.yilichem.cn
+86 (519) 8860-1518
+86 (519) 8860-1027
pailove@sina.com
myabby@vip.qq.com
QQ Chat
Chemical manufacturer since 1995
chemBlink Standard supplier since 2009
Shandong Xintai Water-Treatment Co., Ltd. China
www.xintaiwater.com
+86 (632) 346-1066
+86 (632) 346-1077
xintaiwater@163.com
Chemical manufacturer

Identification
ClassificationOrganic raw materials >> Organic phosphine compound
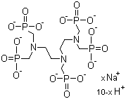
NameDiethylenetriaminepenta(methylenephosphonicacid) sodium salt
SynonymsDTPMP-Na
Molecular StructureDiethylenetriaminepenta(methylenephosphonicacid) sodium salt molecular structure (CAS 22042-96-2)
Molecular FormulaC9H28N3O15P5.xNa
CAS Registry Number22042-96-2
EC Number244-751-4
Safety Data
Hazard Classification
up    Details
HazardClassCategory CodeHazard Statement
Substances or mixtures corrosive to metalsMet. Corr.1H290
Eye irritationEye Irrit.2H319
Skin irritationSkin Irrit.2H315
Chronic hazardous to the aquatic environmentAquatic Chronic4H413
Serious eye damageEye Dam.1H318
Skin corrosionSkin Corr.1BH314
Skin corrosionSkin Corr.1AH314
Market Analysis Reports
Related Products
Diethylene glyc...  Di(ethylene gly...  Diethylenetriam...  Diethylenetriam...  Diethylenetriam...  Diethylenetriam...  Diethylenetriam...  Diethylenetriam...  Diethylenetriam...  Diethylenetriam...  Diethylenetriam...  Diethylenetriam...  Diethylenetriam...  3-(Diethylenetr...  [5-[(4,6-Diethy...  2,5-Diethyl-2,5...  Diethyl 2,3-Epo...  Diethyl (2S,3S)...  (2R,3R)-Diethyl...  N,N-Diethyletha...