Online Database of Chemicals from Around the World

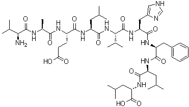
L-Valyl-L-alanyl-L-alpha-glutamyl-L-leucyl-L-valyl-L-histidyl-L-phenylalanyl-L-leucyl-L-leucine
[CAS 220111-11-5]

List of Suppliers
Creative Peptides USA
www.creative-peptides.com
+1 (631) 624-4882
+1 (631) 614-7828
info@creative-peptides.com
Chemical manufacturer
chemBlink Standard supplier since 2010

Identification
ClassificationBiochemical >> Peptide
NameL-Valyl-L-alanyl-L-alpha-glutamyl-L-leucyl-L-valyl-L-histidyl-L-phenylalanyl-L-leucyl-L-leucine
Molecular StructureL-Valyl-L-alanyl-L-alpha-glutamyl-L-leucyl-L-valyl-L-histidyl-L-phenylalanyl-L-leucyl-L-leucine molecular structure (CAS 220111-11-5)
Molecular FormulaC51H81N11O12
Molecular Weight1040.26
Protein Sequence1-9 VAELVHFLL$$nl$$[9-E-OH;]
CAS Registry Number220111-11-5
Properties
SolubilityVery slightly soluble (0.32 g/L) (25 °C), Calc.*
Density1.208±0.06 g/cm3 (20 °C 760 Torr), Calc.*
*Calculated using Advanced Chemistry Development (ACD/Labs) Software V11.02 (©1994-2016 ACD/Labs)
Market Analysis Reports
Related Products
Valspodar  Valtorcitabine  Valtorcitabine ...  Valtrate  Valtrate HD  Valtrate J  Valtropine  H-Val-Val-OH  H-Val-Val-Val-O...  L-Valyl-L-alani...  L-Valyl-L-Alany...  L-Valyl-L-alany...  L-Valyl-L-alany...  L-Valyl-L-argin...  L-Valyl-L-argin...  L-Valyl-L-argin...  L-Valyl-L-aspar...  L-Valyl-L-Aspar...  L-Valyl-L-alpha...  L-Valyl-L-Cyste...