Online Database of Chemicals from Around the World

Hastacine
[CAS 20361-77-7]

Suppliers
CAS#: 20361-77-7
Product: Hastacine
No suppilers available for the product.
Identification
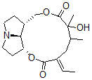
Name Hastacine
Molecular Structure CAS#: 20361-77-7, Hastacine
Molecular Formula C18H27NO5
Molecular Weight 337.42
CAS Registry Number 20361-77-7
SMILES [C@@H]12N3CC[C@H]1OC(=O)C(/CC(C(O)(C(OC[C@H]2CC3)=O)C)C)=C/C
InChI 1S/C18H27NO5/c1-4-12-9-11(2)18(3,22)17(21)23-10-13-5-7-19-8-6-14(15(13)19)24-16(12)20/h4,11,13-15,22H,5-10H2,1-3H3/b12-4+/t11?,13-,14-,15+,18?/m1/s1
InChIKey BTHCJHQOYFUIMG-ZEDKSUSISA-N
Market Analysis Reports
Related Products
Harmol Hydrochl...  Harmol Hydrochl...  Harmol Sulfate;...  Harpagide;(1S-(...  Harpagophytum p...  Harpagoside;[(1...  Harringtonin  Harringtonine  Harzianopyridon...  Harzianum A;(4b...  Hastanecine;(1R...  Hastatoside  Hasubanonine  Hatomamicin;Yl ...  Hausmannite;2,4...  Hautriwaic acid...  Hawthorn, Crata...  Hazaleamide;(2E...  Hazel, Corylus ...  Hazimicin