Online Database of Chemicals from Around the World

Eusynthomycin
[CAS 16255-48-4]

List of Suppliers
Shanghai Hohance Chemical Co., Ltd. China
www.hohance.com
+86 (21) 3111-5312
+86 (21) 3111-5317
info@hohance.com
Chemical manufacturer
chemBlink Standard supplier since 2011
Medilink Pharmachem India
www.medilinkpharma.com
+91 (79) 3007-0133
+91 (79) 4007-4175
exports@medilinkpharma.com
Chemical distributor since 1996
chemBlink Standard supplier since 2014
Leawell International Limited Hong Kong
www.leawell.com.cn
+852 2576-0298
+852 2895-4635
enquiry@leawell.com.hk
Chemical distributor
Aronis Russia
www.aronis.ru
+7 (926) 578-0336
+7 (495) 426-5336
rakishev@aronis.ru
Chemical manufacturer

Identification
ClassificationAPI >> Antibiotics
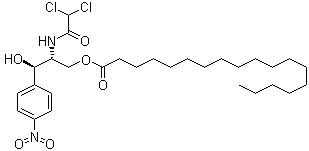
NameEusynthomycin
SynonymsLevomycetin stearate; Chloroamphenicol stearate; [(2R,3R)-2-[(2,2-Dichloroacetyl)amino]-3-hydroxy-3-(4-nitrophenyl)propyl] octadecanoate
Molecular StructureEusynthomycin molecular structure (CAS 16255-48-4)
Molecular FormulaC29H46Cl2N2O6
Molecular Weight589.59
CAS Registry Number16255-48-4
EC Number240-363-4
Safety Data
Hazard Classification
up    Details
HazardClassCategory CodeHazard Statement
CarcinogenicityCarc.2H351
SDSAvailable
Market Analysis Reports
Related Products
Europium(3+) Tr...  Europium Tris[3...  Europium tris(2...  Eurycarpin A  Eurycarpin B  Eurycomalactone  Eurycomanol  Eurycomanone  Euscaphic acid  Euscaphin B  Eutropoflavin  Eutylone  Eutylone hydroc...  Euxanthone  Evacetrapib  Evandamine  Evening primros...  Evernia furfura...  Evernic Acid  Evernimicin