Online Database of Chemicals from Around the World

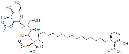
2-[(17S,18S,19S,20R)-17-Acetyloxy-20-[(2S,3S,4S,5S,6R)-3-Acetyloxy-4,5-Dihydroxy-6-(Hydroxymethyl)Oxan-2-Yl]Oxy-17-Carboxy-18,19,21-Trihydroxy-16-Methylhenicosyl]-6-Hydroxybenzoic Acid
[CAS 160471-36-3]

Suppliers
CAS#: 160471-36-3
Product: 2-[(17S,18S,19S,20R)-17-Acetyloxy-20-[(2S,3S,4S,5S,6R)-3-Acetyloxy-4,5-Dihydroxy-6-(Hydroxymethyl)Oxan-2-Yl]Oxy-17-Carboxy-18,19,21-Trihydroxy-16-Methylhenicosyl]-6-Hydroxybenzoic Acid
No suppilers available for the product.
Identification
Name 2-[(17S,18S,19S,20R)-17-Acetyloxy-20-[(2S,3S,4S,5S,6R)-3-Acetyloxy-4,5-Dihydroxy-6-(Hydroxymethyl)Oxan-2-Yl]Oxy-17-Carboxy-18,19,21-Trihydroxy-16-Methylhenicosyl]-6-Hydroxybenzoic Acid
Synonyms 2-[(17S,18S,19S,20R)-17-Acetoxy-20-[(2S,3S,4S,5S,6R)-3-Acetoxy-4,5-Dihydroxy-6-(Hydroxymethyl)Tetrahydropyran-2-Yl]Oxy-17-Carboxy-18,19,21-Trihydroxy-16-Methyl-Henicosyl]-6-Hydroxy-Benzoic Acid; 2-[(17S,18S,19S,20R)-17-Acetoxy-20-[[(2S,3S,4S,5S,6R)-3-Acetoxy-4,5-Dihydroxy-6-(Hydroxymethyl)-2-Tetrahydropyranyl]Oxy]-17-Carboxy-18,19,21-Trihydroxy-16-Methylhenicosyl]-6-Hydroxybenzoic Acid; 2-[(17S,18S,19S,20R)-17-Acetoxy-20-[(2S,3S,4S,5S,6R)-3-Acetoxy-4,5-Dihydroxy-6-Methylol-Tetrahydropyran-2-Yl]Oxy-17-Carboxy-18,19,21-Trihydroxy-16-Methyl-Henicosyl]-6-Hydroxy-Benzoic Acid
Molecular Structure CAS#: 160471-36-3, 2-[(17S,18S,19S,20R)-17-Acetyloxy-20-[(2S,3S,4S,5S,6R)-3-Acetyloxy-4,5-Dihydroxy-6-(Hydroxymethyl)Oxan-2-Yl]Oxy-17-Carboxy-18,19,21-Trihydroxy-16-Methylhenicosyl]-6-Hydroxybenzoic Acid
Molecular Formula C40H64O17
Molecular Weight 816.94
CAS Registry Number 160471-36-3
SMILES [C@](C(=O)O)([C@@H](O)[C@H](O)[C@H](O[C@H]1[C@@H](OC(=O)C)[C@@H](O)[C@H](O)[C@H](O1)CO)CO)(OC(C)=O)C(CCCCCCCCCCCCCCCC2=CC=CC(=C2C(=O)O)O)C
InChI 1S/C40H64O17/c1-24(18-15-13-11-9-7-5-4-6-8-10-12-14-16-19-27-20-17-21-28(45)31(27)37(50)51)40(39(52)53,57-26(3)44)36(49)33(47)30(23-42)56-38-35(54-25(2)43)34(48)32(46)29(22-41)55-38/h17,20-21,24,29-30,32-36,38,41-42,45-49H,4-16,18-19,22-23H2,1-3H3,(H,50,51)(H,52,53)/t24?,29-,30-,32-,33-,34+,35+,36+,38+,40+/m1/s1
InChIKey BRQJNWFMGNHEQO-LYJPMCOASA-N
Properties
Density 1.332g/cm3 (Cal.)
Boiling point 989.8°C at 760 mmHg (Cal.)
Flash point 290.713°C (Cal.)
References
(1) Alois Fürstner and Ingo Konetzki. Total Synthesis of Caloporoside, J. Org. Chem., 1998, 63 (9), pp 3072–3080
Market Analysis Reports
Related Products
Acetyloxyacetal...  [2-[[3-[(2-Acet...  N-Acetyloxy-2-a...  2-(N-Acetyloxy-...  5-[[2-(Acetylox...  [17-(2-Acetylox...  N-[2-(Acetyloxy...  [(3S,8R,9S,10R,...  2-(Acetyloxy)-N...  [(2R,3S,4R,5R)-...  [(2R,3S,4R,5R)-...  5-(Acetyloxy)-4...  [(2R,3R,4R,5R)-...  4-(Acetyloxy)-3...  [5-Acetyloxy-2-...  [4-Acetyloxy-2-...  (4S)-9-(Acetylo...  (3aR,4S,5R,6aS)...  (4S,6R,7S,10R,1...  [(3S,4S,5S)-4-A...