|
CAS#: 156223-06-2 Product: N-[6-(Hydroxymethyl)-9-(1H-Indol-3-Ylmethyl)-17-Methyl-2,5,8,11,15-Pentaoxo-1-Oxa-4,7,10,14-Tetrazacycloheptadec-16-Yl]-2-[[(10E,12E)-9-Hydroxyoctadeca-10,12-Dienoyl]Amino]Pentanediamide No suppilers available for the product. |
| Name | N-[6-(Hydroxymethyl)-9-(1H-Indol-3-Ylmethyl)-17-Methyl-2,5,8,11,15-Pentaoxo-1-Oxa-4,7,10,14-Tetrazacycloheptadec-16-Yl]-2-[[(10E,12E)-9-Hydroxyoctadeca-10,12-Dienoyl]Amino]Pentanediamide |
|---|---|
| Synonyms | N-[6-(Hydroxymethyl)-9-(1H-Indol-3-Ylmethyl)-17-Methyl-2,5,8,11,15-Pentaoxo-1-Oxa-4,7,10,14-Tetrazacycloheptadec-16-Yl]-2-[[(10E,12E)-9-Hydroxy-1-Oxooctadeca-10,12-Dienyl]Amino]Pentanediamide; 2-[[(10E,12E)-9-Hydroxyoctadeca-10,12-Dienoyl]Amino]-N-[9-(1H-Indol-3-Ylmethyl)-2,5,8,11,15-Pentaketo-17-Methyl-6-Methylol-1-Oxa-4,7,10,14-Tetrazacycloheptadec-16-Yl]Glutaramide; Aselacin A |
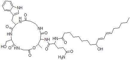
| Molecular Structure | ![]() |
| Molecular Formula | C46H68N8O11 |
| Molecular Weight | 909.09 |
| CAS Registry Number | 156223-06-2 |
| SMILES | C2=C(C1=CC=CC=C1[NH]2)CC3NC(=O)CCNC(=O)C(NC(=O)C(NC(=O)CCCCCCCC(O)\C=C\C=C\CCCCC)CCC(=O)N)C(OC(=O)CNC(=O)C(NC3=O)CO)C |
| InChI | 1S/C46H68N8O11/c1-3-4-5-6-7-9-12-17-32(56)18-13-10-8-11-14-21-39(58)51-35(22-23-38(47)57)44(62)54-42-30(2)65-41(60)28-50-43(61)37(29-55)53-45(63)36(52-40(59)24-25-48-46(42)64)26-31-27-49-34-20-16-15-19-33(31)34/h7,9,12,15-17,19-20,27,30,32,35-37,42,49,55-56H,3-6,8,10-11,13-14,18,21-26,28-29H2,1-2H3,(H2,47,57)(H,48,64)(H,50,61)(H,51,58)(H,52,59)(H,53,63)(H,54,62)/b9-7+,17-12+ |
| InChIKey | AYUIKFCHOSVYEV-DGRUYDBLSA-N |
| Density | 1.278g/cm3 (Cal.) |
|---|---|
| Boiling point | 1356.737°C at 760 mmHg (Cal.) |
| Flash point | 774.326°C (Cal.) |
| Market Analysis Reports |