Online Database of Chemicals from Around the World

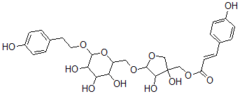
[3,4-Dihydroxy-5-[[3,4,5-Trihydroxy-6-[2-(4-Hydroxyphenyl)Ethoxy]Oxan-2-Yl]Methoxy]Oxolan-3-Yl]Methyl (E)-3-(4-Hydroxyphenyl)Prop-2-Enoate
[CAS 149155-71-5]

Suppliers
CAS#: 149155-71-5
Product: [3,4-Dihydroxy-5-[[3,4,5-Trihydroxy-6-[2-(4-Hydroxyphenyl)Ethoxy]Oxan-2-Yl]Methoxy]Oxolan-3-Yl]Methyl (E)-3-(4-Hydroxyphenyl)Prop-2-Enoate
No suppilers available for the product.
Identification
Name [3,4-Dihydroxy-5-[[3,4,5-Trihydroxy-6-[2-(4-Hydroxyphenyl)Ethoxy]Oxan-2-Yl]Methoxy]Oxolan-3-Yl]Methyl (E)-3-(4-Hydroxyphenyl)Prop-2-Enoate
Synonyms [3,4-Dihydroxy-5-[[3,4,5-Trihydroxy-6-[2-(4-Hydroxyphenyl)Ethoxy]Tetrahydropyran-2-Yl]Methoxy]Tetrahydrofuran-3-Yl]Methyl (E)-3-(4-Hydroxyphenyl)Prop-2-Enoate; (E)-3-(4-Hydroxyphenyl)Prop-2-Enoic Acid [3,4-Dihydroxy-5-[[3,4,5-Trihydroxy-6-[2-(4-Hydroxyphenyl)Ethoxy]-2-Tetrahydropyranyl]Methoxy]-3-Tetrahydrofuranyl]Methyl Ester; (E)-3-(4-Hydroxyphenyl)Acrylic Acid [3,4-Dihydroxy-5-[[3,4,5-Trihydroxy-6-[2-(4-Hydroxyphenyl)Ethoxy]Tetrahydropyran-2-Yl]Methoxy]Tetrahydrofuran-3-Yl]Methyl Ester
Molecular Structure CAS#: 149155-71-5, [3,4-Dihydroxy-5-[[3,4,5-Trihydroxy-6-[2-(4-Hydroxyphenyl)Ethoxy]Oxan-2-Yl]Methoxy]Oxolan-3-Yl]Methyl (E)-3-(4-Hydroxyphenyl)Prop-2-Enoate
Molecular Formula C28H34O13
Molecular Weight 578.57
CAS Registry Number 149155-71-5
SMILES C4=C(CCOC1OC(C(O)C(O)C1O)COC2OCC(O)(C2O)COC(=O)\C=C\C3=CC=C(O)C=C3)C=CC(=C4)O
InChI 1S/C28H34O13/c29-18-6-1-16(2-7-18)5-10-21(31)39-14-28(36)15-40-27(25(28)35)38-13-20-22(32)23(33)24(34)26(41-20)37-12-11-17-3-8-19(30)9-4-17/h1-10,20,22-27,29-30,32-36H,11-15H2/b10-5+
InChIKey IGGZLIGWWTVKMJ-BJMVGYQFSA-N
Properties
Density 1.532g/cm3 (Cal.)
Boiling point 846.322°C at 760 mmHg (Cal.)
Flash point 277.935°C (Cal.)
Market Analysis Reports
Related Products
2,7-Dihydroxy-4...  1,25-Dihydroxy-...  3,5-Dihydroxy-4...  (3R,5R)-4-[3,5-...  (1R,3R,4S,5R)-3...  (1S,3R,4R,5R)-3...  (2R,3S,4R,5R)-5...  (3R,4S)-3,5-Dih...  N-[4-[3,5-Dihyd...  2,4-Dihydroxy-3...  (2S)-5,7-Dihydr...  6-[2-[4-[4,5-Di...  (3beta,5beta,7a...  (2S)-2,3-Dihydr...  [(2S,3R,4R)-5-[...  5,7-Dihydroxy-2...  (2Z)-4,6-Dihydr...  5,7-Dihydroxy-2...  5,7-Dihydroxy-1...  2',4'-Dihydroxy...