Online Database of Chemicals from Around the World

Margatoxin
[CAS 145808-47-5]

List of Suppliers
Creative Peptides USA
www.creative-peptides.com
+1 (631) 624-4882
+1 (631) 614-7828
info@creative-peptides.com
Chemical manufacturer
chemBlink Standard supplier since 2010
Smartox Biotechnology France
www.smartox-biotech.com
+33 (4) 7654-9529
contact@smartox-biotech.com
Chemical manufacturer
chemBlink Standard supplier since 2012
Glentham Life Sciences UK
www.glenthamls.com
+44 (2033) 978-798
+44 (2033) 978-909
info@glenthamls.com
Chemical distributor since 2013
chemBlink Standard supplier since 2013
Tocris Bioscience Inc. USA
www.tocris.com
+1 (636) 207-7651
+1 (636) 207-7683
customerservice.na@bio-techne.com
Chemical manufacturer since 1982

Identification
NameMargatoxin
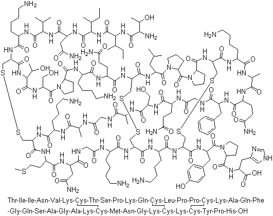
Molecular StructureMargatoxin molecular structure (CAS 145808-47-5)
Molecular FormulaC178H286N52O50S7
Molecular Weight4178.97
CAS Registry Number145808-47-5
EC Number686-414-8
Safety Data
Hazard Classification
up    Details
HazardClassCategory CodeHazard Statement
Acute toxicityAcute Tox.3H301
Acute toxicityAcute Tox.3H331
Acute toxicityAcute Tox.3H311
SDSAvailable
Market Analysis Reports
Related Products
Marbofloxacin  Marbofloxacin h...  Marbofloxacin N...  Marbon CNB 2301...  Marcasite  Marcellomycin  Marcfortine A  Marein  Margaric acid m...  Margaroyl Chlor...  Maribavir  Marimastat  Marinobufagenin  Marino-Bufotoxi...  (±)-Marinopyrro...  Marinostatin D  Mariptiline  Maritimein  Maritimetin  Marjoram Oil