Online Database of Chemicals from Around the World

(4,4',4'',4'''-Tetrasulfophthalocyaninato)cobalt
[CAS 14285-59-7]

List of Suppliers
CAS: 14285-59-7
Product: (4,4',4'',4'''-Tetrasulfophthalocyaninato)cobalt
No suppliers available.
Identification
Name(4,4',4'',4'''-Tetrasulfophthalocyaninato)cobalt
Synonyms29H,31H-Phthalocyanine-2,9,16,23-tetrasulfonic acid, cobalt complex; [Tetrahydrogen 4,4',4'',4'''-phthalocyaninetetrasulfonato(2-)]cobalt; Cobalt 4,4',4'',4'''-tetrasulfophthalocyanine
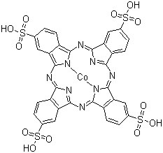
Molecular Structure(4,4',4'',4'''-Tetrasulfophthalocyaninato)cobalt molecular structure (CAS 14285-59-7)
Molecular FormulaC32H12CoN8O12S4.4H
Molecular Weight891.70
CAS Registry Number14285-59-7
EC Number238-200-7
Safety Data
Hazard Classification
up    Details
HazardClassCategory CodeHazard Statement
Eye irritationEye Irrit.2H319
Skin sensitizationSkin Sens.1AH317
Market Analysis Reports
Related Products
Tetrasodium 5,5...  Tetrasodium 7,7...  Tetrasodium P,P...  Tetrasodium vin...  Tetraspiro[2.0....  2,3,4,5-Tetra-O...  Tetrasuccinimid...  1,3,4,6-Tetra-O...  Tetrasulfonated...  3,4',4'',4'''-T...  Tetrasul Sulfox...  Tetraterbium he...  Tetra-alpha-ter...  Tetra(tert-buto...  2,2',6,6'-Tetra...  3,3',5,5'-Tetra...  3,3',5,5'-Tetra...  1,1,2,2-Tetra-T...  2,11,20,29-Tetr...  Tetra-tert-buty...