Online Database of Chemicals from Around the World

(E)-4-[2,8-Dihydroxy-9-[(4E,6E,12E,14E)-10-Hydroxy-3,15-Dimethoxy-7,9,11,13-Tetramethyl-16-Oxo-1-Oxacyclohexadeca-4,6,12,14-Tetraen-2-Yl]-3,7-Dimethyl-6-Oxodecan-4-Yl]Oxy-4-Oxobut-2-Enoic Acid
[CAS 142386-68-3]

Suppliers
CAS#: 142386-68-3
Product: (E)-4-[2,8-Dihydroxy-9-[(4E,6E,12E,14E)-10-Hydroxy-3,15-Dimethoxy-7,9,11,13-Tetramethyl-16-Oxo-1-Oxacyclohexadeca-4,6,12,14-Tetraen-2-Yl]-3,7-Dimethyl-6-Oxodecan-4-Yl]Oxy-4-Oxobut-2-Enoic Acid
No suppilers available for the product.
Identification
Name (E)-4-[2,8-Dihydroxy-9-[(4E,6E,12E,14E)-10-Hydroxy-3,15-Dimethoxy-7,9,11,13-Tetramethyl-16-Oxo-1-Oxacyclohexadeca-4,6,12,14-Tetraen-2-Yl]-3,7-Dimethyl-6-Oxodecan-4-Yl]Oxy-4-Oxobut-2-Enoic Acid
Synonyms (E)-4-[2,8-Dihydroxy-9-[(4Z,6E,12E,14E)-10-Hydroxy-3,15-Dimethoxy-7,9,11,13-Tetramethyl-16-Oxo-1-Oxacyclohexadeca-4,6,12,14-Tetraen-2-Yl]-3,7-Dimethyl-6-Oxodecan-4-Yl]Oxy-4-Oxobut-2-Enoic Acid; (E)-4-[5-Hydroxy-6-[(4E,6E,12E,14E)-10-Hydroxy-3,15-Dimethoxy-7,9,11,13-Tetramethyl-16-Oxo-1-Oxacyclohexadeca-4,6,12,14-Tetraen-2-Yl]-1-(2-Hydroxy-1-Methyl-Propyl)-4-Methyl-3-Oxo-Heptoxy]-4-Oxo-But-2-Enoic Acid; (E)-4-[5-Hydroxy-6-[(4Z,6E,12E,14E)-10-Hydroxy-3,15-Dimethoxy-7,9,11,13-Tetramethyl-16-Oxo-1-Oxacyclohexadeca-4,6,12,14-Tetraen-2-Yl]-1-(2-Hydroxy-1-Methyl-Propyl)-4-Methyl-3-Oxo-Heptoxy]-4-Oxo-But-2-Enoic Acid
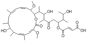
Molecular Structure CAS#: 142386-68-3, (E)-4-[2,8-Dihydroxy-9-[(4E,6E,12E,14E)-10-Hydroxy-3,15-Dimethoxy-7,9,11,13-Tetramethyl-16-Oxo-1-Oxacyclohexadeca-4,6,12,14-Tetraen-2-Yl]-3,7-Dimethyl-6-Oxodecan-4-Yl]Oxy-4-Oxobut-2-Enoic Acid
Molecular Formula C37H56O12
Molecular Weight 692.84
CAS Registry Number 142386-68-3
SMILES C(C(=O)C(C(O)C(C1OC(=O)C(=C/C(=C/C(C(O)C(CC(=C/C=C/C1OC)/C)C)C)C)\OC)C)C)C(OC(=O)\C=C\C(O)=O)C(C(O)C)C
InChI 1S/C37H56O12/c1-20-12-11-13-29(46-9)36(49-37(45)31(47-10)18-21(2)17-23(4)34(43)22(3)16-20)26(7)35(44)25(6)28(39)19-30(24(5)27(8)38)48-33(42)15-14-32(40)41/h11-15,17-18,22-27,29-30,34-36,38,43-44H,16,19H2,1-10H3,(H,40,41)/b13-11+,15-14+,20-12+,21-17+,31-18+
InChIKey VJPUXUDFGGBXQF-FLYJGUFZSA-N
Market Analysis Reports
Related Products
[(2R,3R,4S,5R,6...  7-[(1R,2R,3R,5S...  4-[5,14-Dihydro...  (E)-3-[4-[(5Z)-...  5,14-Dihydroxy-...  5,7-Dihydroxy-2...  3,7-Dihydroxy-2...  5,7-Dihydroxy-2...  (4aR,6aR,12aS,1...  5,7-Dihydroxy-2...  (2R,3R,6R)-2,3-...  (2R)-5,7-Dihydr...  1-[3-[3,4-Dihyd...  2,6-Dihydroxy-5...  4-[[2,4-Dihydro...  4-[[2,4-Dihydro...  5-[[2,4-Dihydro...  3-[(1R,2S,3S,4S...  1,5-Dihydroxy-4...  1-{2,4-Dihydrox...