Online Database of Chemicals from Around the World

(3alpha,5alpha,6alpha,7beta,16alpha,23alpha)-3,6,7,23-Tetrahydroxy-16,23-Cyclocholestan-15-one
[CAS 141272-45-9]

Suppliers
CAS#: 141272-45-9
Product: (3alpha,5alpha,6alpha,7beta,16alpha,23alpha)-3,6,7,23-Tetrahydroxy-16,23-Cyclocholestan-15-one
No suppilers available for the product.
Identification
Name (3alpha,5alpha,6alpha,7beta,16alpha,23alpha)-3,6,7,23-Tetrahydroxy-16,23-Cyclocholestan-15-one
Synonyms Aids-081022; Aids081022; Xestobergsterol A
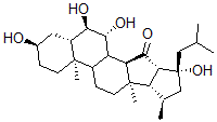
Molecular Structure CAS#: 141272-45-9, (3alpha,5alpha,6alpha,7beta,16alpha,23alpha)-3,6,7,23-Tetrahydroxy-16,23-Cyclocholestan-15-one
Molecular Formula C27H44O5
Molecular Weight 448.64
CAS Registry Number 141272-45-9
SMILES [C@H]15[C@H](C(=O)[C@H]2[C@@]1(CCC3C2[C@@H](O)[C@H](O)[C@@H]4[C@@]3(CC[C@@H](O)C4)C)C)[C@](O)(C[C@H]5C)CC(C)C
InChI 1S/C27H44O5/c1-13(2)11-27(32)12-14(3)19-21(27)24(31)20-18-16(7-9-26(19,20)5)25(4)8-6-15(28)10-17(25)22(29)23(18)30/h13-23,28-30,32H,6-12H2,1-5H3/t14-,15-,16?,17-,18?,19+,20+,21-,22-,23-,25-,26-,27-/m1/s1
InChIKey NXIUUQKBFNWMSY-GUYYLKMKSA-N
Properties
Density 1.174g/cm3 (Cal.)
Boiling point 584.016°C at 760 mmHg (Cal.)
Flash point 321.041°C (Cal.)
Market Analysis Reports
Related Products
(3alpha,5beta,7...  3,6,7,12-Tetrah...  3,7,12,23-Tetra...  (3alpha,5beta,6...  (3alpha,5beta,6...  (1beta,3alpha,5...  2,3,6,7-Tetrahy...  3,6,7,12-Tetrah...  3,7,12,25-Tetra...  3,4,7,8-Tetrahy...  2,3,5,6-Tetrahy...  2,3,5,6-Tetrahy...  (3R,5R)-1,3,4,5...  1,3,4,5-Tetrahy...  (1R,2R,3S,4R,5S...  (1S,2R,3S,4R,5R...  (4R,5S,6R)-2,4,...  (4S,5R,6S)-2,4,...  [(3R,4R,5R,6R)-...  Tetrahydroxydib...