Online Database of Chemicals from Around the World

Cycloleonurinin
[CAS 135447-56-2]

Suppliers
CAS#: 135447-56-2
Product: Cycloleonurinin
No suppilers available for the product.
Identification
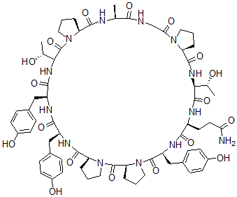
Name Cycloleonurinin
Molecular Structure CAS#: 135447-56-2, Cycloleonurinin
Molecular Formula C65H85N13O18
Molecular Weight 1336.46
CAS Registry Number 135447-56-2
SMILES [C@@H]18N(C(=O)[C@@H](NC(=O)[C@@H](NC(=O)[C@@H](NC(=O)[C@H]6N(C(=O)CNC(=O)[C@@H](NC(=O)[C@H]5N(C(=O)C(NC(=O)[C@@H](NC(=O)[C@@H](NC(=O)[C@H]2N(C1=O)CCC2)CC3=CC=C(O)C=C3)CC4=CC=C(O)C=C4)[C@H](O)C)CCC5)C)CCC6)[C@H](O)C)CCC(=O)N)CC7=CC=C(O)C=C7)CCC8
InChI 1S/C65H85N13O18/c1-34-55(86)67-33-52(85)75-26-4-8-47(75)61(92)73-53(35(2)79)62(93)69-43(24-25-51(66)84)56(87)72-46(32-39-16-22-42(83)23-17-39)63(94)78-29-7-11-50(78)64(95)76-27-5-10-49(76)60(91)71-44(30-37-12-18-40(81)19-13-37)57(88)70-45(31-38-14-20-41(82)21-15-38)58(89)74-54(36(3)80)65(96)77-28-6-9-48(77)59(90)68-34/h12-23,34-36,43-50,53-54,79-83H,4-11,24-33H2,1-3H3,(H2,66,84)(H,67,86)(H,68,90)(H,69,93)(H,70,88)(H,71,91)(H,72,87)(H,73,92)(H,74,89)/t34-,35+,36+,43-,44-,45-,46-,47-,48-,49-,50-,53-,54?/m0/s1
InChIKey KGOVKRHETJWBCR-RBJHRMQTSA-N
Market Analysis Reports
Related Products
Cyclo(-His-Phe)...  Cyclo(His-Pro);...  Cyclo(Histidyl-...  Cyclo(Histidyl-...  Cyclo(5-Hydroxy...  8,2'-S-Cycloino...  (+)-Cycloisolon...  cyclokallidin;B...  (3beta)-9,19-Cy...  (3beta,22E)-9,1...  Cycloleucine;1-...  Cyclo(Leucylgly...  Cyclo(L-leucyl-...  Cyclo(leucyl-ph...  Cyclo(L-leucyl-...  Cyclo(L-Leucyl-...  Cyclo(L-Leucyl-...  Cyclo(Leu-Leu)  Cyclo(Lysyl-Pro...  Cyclo(Lysyl-Pro...