Online Database of Chemicals from Around the World
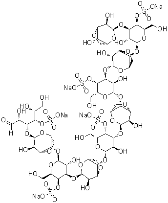
O-3,6-Anhydro-alpha-D-galactopyranosyl-(1→3)-O-4-O-sulfo-beta-D-galactopyranosyl-(1→4)-O-3,6-anhydro-alpha-D-galactopyranosyl-(1→3)-O-4-O-sulfo-beta-D-galactopyranosyl-(1→4)-O-3,6-anhydro-alpha-D-galactopyranosyl-(1→3)-O-4-O-sulfo-beta-D-galactopyranosyl-(1→4)-O-3,6-anhydro-alpha-D-galactopyranosyl-(1→3)-O-4-O-sulfo-beta-D-galactopyranosyl-(1→4)-O-3,6-anhydro-alpha-D-galactopyranosyl-(1→3)-D-galactose 4-(hydrogen sulfate) pentasodium salt
[CAS 133628-75-8]
Identification| Name | O-3,6-Anhydro-alpha-D-galactopyranosyl-(1→3)-O-4-O-sulfo-beta-D-galactopyranosyl-(1→4)-O-3,6-anhydro-alpha-D-galactopyranosyl-(1→3)-O-4-O-sulfo-beta-D-galactopyranosyl-(1→4)-O-3,6-anhydro-alpha-D-galactopyranosyl-(1→3)-O-4-O-sulfo-beta-D-galactopyranosyl-(1→4)-O-3,6-anhydro-alpha-D-galactopyranosyl-(1→3)-O-4-O-sulfo-beta-D-galactopyranosyl-(1→4)-O-3,6-anhydro-alpha-D-galactopyranosyl-(1→3)-D-galactose 4-(hydrogen sulfate) pentasodium salt |
|---|
|
| Molecular Structure |  |
| Molecular Formula | C60H87O61S5Na5 |
| Molecular Weight | 2059.58 |
| CAS Registry Number | 133628-75-8 |
|
Related Products
(1S)-1,5-Anhydr... 1,5-Anhydro-D-f... 9,11-Anhydro Fu... 1,6-Anhydro-bet... 3-O-(3,6-Anhydr... 3-O-(3,6-Anhydr... O-3,6-Anhydro-a... O-3,6-Anhydro-a... [O-3,6-Anhydro-... O-3,6-Anhydro-a... 3,6-Anhydro-D-G... 1,6-Anhydro-bet... Anhydro Galanth... 1,5-Anhydro-L-G... 1,4-Anhydro-D-G... 2,5-Anhydro-D-g... 2,5-Anhydro-D-G... 2,5-Anhydro-D-G... 2,5-Anhydro-D-G... 1,4-Anhydro-D-G...