Online Database of Chemicals from Around the World

(2S)-2,3-Bis(Dodecanoyloxy)Propyl 2-(Trimethylammonio)Ethyl Phosphate
[CAS 127641-86-5]

Suppliers
Alfa Chemistry USA
+1 (201) 478-8534
inquiry@alfa-chemistry.com
Chemical distributor since 2012
chemBlink standard supplier since 2012
Santa Cruz Biotechnology, Inc. USA
+1 (831) 457-3800
scbt@scbt.com
Chemical manufacturer
Sigma-Aldrich, Inc. USA
+86 (21) 6141-5566 / 800-819-3336
ordercn@sial.com,
Chemical manufacturer since 1992
Identification
Name (2S)-2,3-Bis(Dodecanoyloxy)Propyl 2-(Trimethylammonio)Ethyl Phosphate
Synonyms (R)-(7-Lauroyl-4-oxido-10-oxo-3,5,9-trioxa-4-phosphahenicosyl)trimethylammonium 4-oxide; 1-sn-Phosphatidylcholine, 2,3-dilauroyl; 2,3-Didocecanoyl-sn-glycero-1-phosphocholine
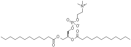
Molecular Structure CAS#: 127641-86-5, (2S)-2,3-Bis(Dodecanoyloxy)Propyl 2-(Trimethylammonio)Ethyl Phosphate
Molecular Formula C32H64NO8P
Molecular Weight 621.83
CAS Registry Number 127641-86-5
SMILES O=C(OC[C@H](OC(=O)CCCCCCCCCCC)COP([O-])(=O)OCC[N+](C)(C)C)CCCCCCCCCCC
InChI 1S/C32H64NO8P/c1-6-8-10-12-14-16-18-20-22-24-31(34)38-28-30(29-40-42(36,37)39-27-26-33(3,4)5)41-32(35)25-23-21-19-17-15-13-11-9-7-2/h30H,6-29H2,1-5H3/t30-/m0/s1
InChIKey IJFVSSZAOYLHEE-PMERELPUSA-N
Properties
Refractive index (Cal.)
Market Analysis Reports
Related Products
Bis(1,3-divinyl...  (S)-(-)-2,2'-Bi...  (R)-(+)-2,2'-Bi...  (S)-(-)-2,2'-Bi...  (R)-(+)-2,2'-Bi...  Bis(docosanoato...  Bis(2,2,3,3,4,4...  Bis(Dodecanoylo...  2-(Bis(2-Dodeca...  Bis[3-(Dodecano...  3,5-Bis[[2-[2-(...  N,N-Bis[2-(Dode...  Bis(4-Dodecylbe...  N,N'-Bis(4-Dode...  Bis(dodecylcycl...  N,N'-Bis(Dodecy...  N,N'-Bis(dodecy...  2,5-Bis(Dodecyl...  3,4-Bis(Dodecyl...  1,4-Bis(Dodecyl...