Online Database of Chemicals from Around the World

Coenzyme A S-(hydroxyacetate)
[CAS 1264-31-9]

Suppliers
CAS#: 1264-31-9
Product: Coenzyme A S-(hydroxyacetate)
No suppilers available for the product.
Identification
Name Coenzyme A S-(hydroxyacetate)
Synonyms S-[2-[3-[[4-[[[5-(6-Aminopurin-9-Yl)-4-Hydroxy-3-Phosphonooxy-Tetrahydrofuran-2-Yl]Methoxy-Hydroxy-Phosphoryl]Oxy-Hydroxy-Phosphoryl]Oxy-2-Hydroxy-3,3-Dimethyl-Butanoyl]Amino]Propanoylamino]Ethyl] 2-Hydroxyethanethioate; 2-Hydroxyethanethioic Acid S-[2-[[3-[[4-[[[5-(6-Amino-9-Purinyl)-4-Hydroxy-3-Phosphonooxy-2-Tetrahydrofuranyl]Methoxy-Hydroxyphosphoryl]Oxy-Hydroxyphosphoryl]Oxy-2-Hydroxy-3,3-Dimethyl-1-Oxobutyl]Amino]-1-Oxopropyl]Amino]Ethyl] Ester; 2-Hydroxyethanethioic Acid S-[2-[3-[[4-[[[5-(6-Aminopurin-9-Yl)-4-Hydroxy-3-Phosphonooxy-Tetrahydrofuran-2-Yl]Methoxy-Hydroxy-Phosphoryl]Oxy-Hydroxy-Phosphoryl]Oxy-2-Hydroxy-3,3-Dimethyl-Butanoyl]Amino]Propanoylamino]Ethyl] Ester
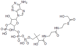
Molecular Structure CAS#: 1264-31-9, Coenzyme A S-(hydroxyacetate)
Molecular Formula C23H38N7O18P3S
Molecular Weight 825.57
CAS Registry Number 1264-31-9
SMILES C1=NC2=C(C(=N1)N)N=C[N]2C3C(O)C(O[P](=O)(O)O)C(O3)CO[P](O[P](OCC(C)(C)C(C(NCCC(NCCSC(CO)=O)=O)=O)O)(=O)O)(=O)O
InChI 1S/C23H38N7O18P3S/c1-23(2,18(35)21(36)26-4-3-13(32)25-5-6-52-14(33)7-31)9-45-51(42,43)48-50(40,41)44-8-12-17(47-49(37,38)39)16(34)22(46-12)30-11-29-15-19(24)27-10-28-20(15)30/h10-12,16-18,22,31,34-35H,3-9H2,1-2H3,(H,25,32)(H,26,36)(H,40,41)(H,42,43)(H2,24,27,28)(H2,37,38,39)
InChIKey KLHKNYVUTZICKN-UHFFFAOYSA-N
Properties
Density 1.95g/cm3 (Cal.)
Market Analysis Reports
Related Products
Coenzyme A disu...  Coenzyme A Disu...  Coenzyme A- S-D...  Coenzyme A,S-do...  Coenzyme alpha-...  Coenzyme A-S-He...  Coenzyme A S-He...  Coenzyme A S-(h...  (R)-Coenzyme A-...  Coenzyme A,S-[(...  Coenzyme A isob...  Coenzyme A Lith...  Coenzyme M;2,2'...  Coenzyme A S-(2...  Coenzyme A-S-No...  Coenzyme A S-(9...  Coenzyme A-S-Oc...  Coenzyme A,S-(9...  Coenzyme A S-Oc...  Coenzyme A S-(3...