Online Database of Chemicals from Around the World

disodium [(2R,3S,4S,5R)-5-(4-amino-2-keto-pyrimidin-1-yl)-3,4-dihydroxy-tetrahydrofuran-2-yl]methoxy-[[3-(cetylthio)-2-hexadecanoyloxy-propoxy]-hydroxy-oxido-phosphaniumyl]oxy-phosphinic acid
[CAS 125592-29-2]

Suppliers
CAS#: 125592-29-2
Product: disodium [(2R,3S,4S,5R)-5-(4-amino-2-keto-pyrimidin-1-yl)-3,4-dihydroxy-tetrahydrofuran-2-yl]methoxy-[[3-(cetylthio)-2-hexadecanoyloxy-propoxy]-hydroxy-oxido-phosphaniumyl]oxy-phosphinic acid
No suppilers available for the product.
Identification
Name disodium [(2R,3S,4S,5R)-5-(4-amino-2-keto-pyrimidin-1-yl)-3,4-dihydroxy-tetrahydrofuran-2-yl]methoxy-[[3-(cetylthio)-2-hexadecanoyloxy-propoxy]-hydroxy-oxido-phosphaniumyl]oxy-phosphinic acid
Synonyms Disodium [(2R,3S,4S,5R)-5-(4-Amino-2-Oxo-Pyrimidin-1-Yl)-3,4-Dihydroxy-Tetrahydrofuran-2-Yl]Methoxy-[(2-Hexadecanoyloxy-3-Hexadecylsulfanyl-Propoxy)-Hydroxy-Oxido-Phosphaniumyl]Oxy-Phosphinic Acid; Disodium [(2R,3S,4S,5R)-5-(4-Amino-2-Oxo-1-Pyrimidinyl)-3,4-Dihydroxy-2-Tetrahydrofuranyl]Methoxy-[[3-(Hexadecylthio)-2-(1-Oxohexadecoxy)Propoxy]-Hydroxy-Oxidophosphaniumyl]Oxyphosphinic Acid; Disodium [(2R,3S,4S,5R)-5-(4-Amino-2-Keto-Pyrimidin-1-Yl)-3,4-Dihydroxy-Tetrahydrofuran-2-Yl]Methoxy-[[3-(Cetylthio)-2-Hexadecanoyloxy-Propoxy]-Hydroxy-Oxido-Phosphaniumyl]Oxy-Phosphinic Acid
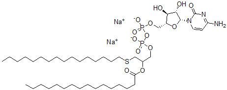
Molecular Structure CAS#: 125592-29-2, disodium [(2R,3S,4S,5R)-5-(4-amino-2-keto-pyrimidin-1-yl)-3,4-dihydroxy-tetrahydrofuran-2-yl]methoxy-[[3-(cetylthio)-2-hexadecanoyloxy-propoxy]-hydroxy-oxido-phosphaniumyl]oxy-phosphinic acid
Molecular Formula C44H83N3Na2O13P2S
Molecular Weight 1002.14
CAS Registry Number 125592-29-2
SMILES [C@H]1(O[C@@H]([C@@H](O)[C@@H]1O)CO[P](O[P](OCC(OC(=O)CCCCCCCCCCCCCCC)CSCCCCCCCCCCCCCCCC)(=O)O)(=O)O)N2C(=O)N=C(N)C=C2.[Na+].[Na+]
InChI 1S/C44H83N3O13P2S.2Na/c1-3-5-7-9-11-13-15-17-19-21-23-25-27-29-33-63-36-37(58-40(48)30-28-26-24-22-20-18-16-14-12-10-8-6-4-2)34-56-61(52,53)60-62(54,55)57-35-38-41(49)42(50)43(59-38)47-32-31-39(45)46-44(47)51;;/h31-32,37-38,41-43,49-50H,3-30,33-36H2,1-2H3,(H,52,53)(H,54,55)(H2,45,46,51);;/q;2*+1/t37?,38-,41-,42+,43-;;/m1../s1
InChIKey XSXWPAWSHVVCPI-ZHRDCSITSA-N
Market Analysis Reports
Related Products
Disodium 5-{[4-...  Disodium 3-[[4-...  Disodium 5-[[4-...  Disodium 2-[(7-...  Disodium 5-[[4'...  Disodium 2-[(2-...  Disodium 8-Amin...  Disodium 6-Amin...  Disodium 5-[[4-...  Disodium 4-Amin...  Disodium 7-[(4-...  Disodium 3-[(4-...  Disodium 8-[(4-...  Disodium 1-Amin...  Disodium 4-[5-A...  Disodium 7-[(4-...  Disodium 3-[(4-...  Disodium (3E)-3...  Disodium 2-[(4-...  Disodium 2-({4-...