Online Database of Chemicals from Around the World

Hormothamnin A
[CAS 120500-21-2]

Suppliers
CAS#: 120500-21-2
Product: Hormothamnin A
No suppilers available for the product.
Identification
Name Hormothamnin A
Synonyms (3Z)-3-Ethylidene-36-Hydroxy-6,31-Bis(2-Hydroxyethyl)-16,25-Diisobutyl-10-Pentyl-28-(Phenylmethyl)-19,22-Disec-Butyl-1,4,7,11,14,17,20,23,26,29,32-Undecazabicyclo[32.3.0]Heptatriacontane-2,5,8,12,15,18,21,24,27,30,33-Undecone; (3Z)-10-Amyl-28-(Benzyl)-3-Ethylidene-36-Hydroxy-6,31-Bis(2-Hydroxyethyl)-16,25-Diisobutyl-19,22-Disec-Butyl-1,4,7,11,14,17,20,23,26,29,32-Undecazabicyclo[32.3.0]Heptatriacontane-2,5,8,12,15,18,21,24,27,30,33-Undecone; Hormothamnin A
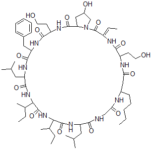
Molecular Structure CAS#: 120500-21-2, Hormothamnin A
Molecular Formula C60H97N11O14
Molecular Weight 1196.49
CAS Registry Number 120500-21-2
SMILES C3=C(CC2NC(C(NC(C1CC(CN1C(\C(=C\C)NC(C(CCO)NC(CC(NC(CNC(C(NC(C(NC(C(C(C)CC)NC(C(CC(C)C)NC2=O)=O)=O)C(C)CC)=O)CC(C)C)=O)=O)CCCCC)=O)=O)=O)O)=O)CCO)=O)C=CC=C3
InChI 1S/C60H97N11O14/c1-11-15-17-22-39-30-48(75)63-42(23-25-72)53(78)64-41(14-4)60(85)71-33-40(74)31-47(71)57(82)65-43(24-26-73)54(79)67-46(29-38-20-18-16-19-21-38)55(80)66-45(28-35(7)8)56(81)69-51(37(10)13-3)59(84)70-50(36(9)12-2)58(83)68-44(27-34(5)6)52(77)61-32-49(76)62-39/h14,16,18-21,34-37,39-40,42-47,50-51,72-74H,11-13,15,17,22-33H2,1-10H3,(H,61,77)(H,62,76)(H,63,75)(H,64,78)(H,65,82)(H,66,80)(H,67,79)(H,68,83)(H,69,81)(H,70,84)/b41-14-
InChIKey AQBJITSSPIIUAM-QVGWBTEESA-N
Properties
Density 1.247g/cm3 (Cal.)
Boiling point 1509.416°C at 760 mmHg (Cal.)
Flash point 866.663°C (Cal.)
Market Analysis Reports
Related Products
Hordenine;4-(2-...  Hordenine;4-(2-...  Hordenine-d6  Hordenine hydro...  Hordenine sulfa...  Hordenine sulfa...  Horehound, Ext.  Hormaomycin;(4R...  Horminone  Hormonin;Hormon...  Horse chestnut,...  Horsemint Oil;H...  Horseradish, Ex...  Hosdon;2-Isopro...  Hosenkoside A  Hosenkoside B  Hosenkoside C  Hosenkoside F  Hosenkoside G  Hosenkoside K