Online Database of Chemicals from Around the World

Methyl 4-Acetoxy-2-Chlorobutanoate
[CAS 112343-32-5]

Suppliers
Achemica Switzerland
+41 (24) 466-2929
contact@achemica.com
Chemical manufacturer since 2010
Atomax Chemicals Co., Ltd. China
+86 13417589054/
info@atomaxchem.com,atomax.chemicals@gmail.com
QQ Chat
Chemical manufacturer
Identification
Name Methyl 4-Acetoxy-2-Chlorobutanoate
Synonyms methyl 4-acetoxy-2-chlorobutanoate
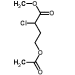
Molecular Structure CAS#: 112343-32-5, Methyl 4-Acetoxy-2-Chlorobutanoate
Molecular Formula C7H11ClO4
Molecular Weight 194.61
CAS Registry Number 112343-32-5
SMILES ClC(CCOC(C)=O)C(=O)OC
InChI 1S/C7H11ClO4/c1-5(9)12-4-3-6(8)7(10)11-2/h6H,3-4H2,1-2H3
InChIKey RHPQWKWGKXPZNT-UHFFFAOYSA-N
Properties
Density 1.195g/cm3 (Cal.)
Boiling point 238.51°C at 760 mmHg (Cal.)
Flash point 95.274°C (Cal.)
Refractive index 1.439 (Cal.)
Market Analysis Reports
Related Products
Methyl 3-Acetox...  Methyl 4-Acetox...  Methyl 6-acetox...  Methyl 3-acetox...  Methyl 3-Acetox...  Methyl 3b-Aceto...  Methyl 3-(Aceto...  Methyl 3alpha-a...  Methyl 2-Acetox...  Methyl 2-(S)-Ac...  Methyl 4-Acetox...  Methyl 4-Acetox...  Methyl (1R,2R)-...  Methyl (1R,2S)-...  Methyl 4-acetox...  Methyl (3alpha,...  Methyl (5beta,7...  Methyl N-[2-Ace...  Methyl 2-(4'-Ac...  Methyl 2-Acetox...