Online Database of Chemicals from Around the World

(3beta,5beta)-3-[(2,6-Dideoxy-4-O-beta-D\-Glucopyranosyl-beta-D-Ribo-Hexopyranosyl)Oxy]-5,14,19-Trihydroxycard-20(22)-Enolide
[CAS 11006-14-7]

Suppliers
Alfa Chemistry USA
+1 (201) 478-8534
inquiry@alfa-chemistry.com
Chemical distributor since 2012
chemBlink standard supplier since 2012
Identification
Name (3beta,5beta)-3-[(2,6-Dideoxy-4-O-beta-D\-Glucopyranosyl-beta-D-Ribo-Hexopyranosyl)Oxy]-5,14,19-Trihydroxycard-20(22)-Enolide
Synonyms 4-[(3S,5S,10R,13R,14S,17R)-3-[(2R,5S)-6-[[(3R,6S)-4,6-Dihydroxy-2-Methyl-Tetrahydropyran-3-Yl]Oxymethyl]-3,4,5-Trihydroxy-Tetrahydropyran-2-Yl]Oxy-5,14-Dihydroxy-10-(Hydroxymethyl)-13-Methyl-2,3,4,6,7,8,9,11,12,15,16,17-Dodecahydro-1H-Cyclopenta[A]Phenanthren-17-Yl]-5H-Furan-2-One; 4-[(3S,5S,10R,13R,14S,17R)-3-[[(2R,5S)-6-[[(3R,6S)-4,6-Dihydroxy-2-Methyl-3-Tetrahydropyranyl]Oxymethyl]-3,4,5-Trihydroxy-2-Tetrahydropyranyl]Oxy]-5,14-Dihydroxy-10-(Hydroxymethyl)-13-Methyl-2,3,4,6,7,8,9,11,12,15,16,17-Dodecahydro-1H-Cyclopenta[A]Phenanthren-17-Yl]-5H-Furan-2-One; 4-[(3S,5S,10R,13R,14S,17R)-3-[(2R,5S)-6-[[(3R,6S)-4,6-Dihydroxy-2-Methyl-Tetrahydropyran-3-Yl]Oxymethyl]-3,4,5-Trihydroxy-Tetrahydropyran-2-Yl]Oxy-5,14-Dihydroxy-13-Methyl-10-Methylol-2,3,4,6,7,8,9,11,12,15,16,17-Dodecahydro-1H-Cyclopenta[A]Phenanthren-17-Yl]-5H-Furan-2-One
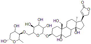
Molecular Structure CAS#: 11006-14-7, (3beta,5beta)-3-[(2,6-Dideoxy-4-O-beta-D\-Glucopyranosyl-beta-D-Ribo-Hexopyranosyl)Oxy]-5,14,19-Trihydroxycard-20(22)-Enolide
Molecular Formula C35H54O14
Molecular Weight 698.80
CAS Registry Number 11006-14-7
EINECS 234-240-4
SMILES [C@]56([C@@](O)(C1C([C@@]4([C@](O)(CC1)C[C@@H](O[C@@H]2OC([C@@H](O)C(O)C2O)CO[C@H]3C(O[C@H](O)CC3O)C)CC4)CO)CC5)CC[C@@H]6C7=CC(OC7)=O)C
InChI 1S/C35H54O14/c1-17-30(23(37)12-26(39)47-17)46-15-24-27(40)28(41)29(42)31(49-24)48-19-3-8-33(16-36)21-4-7-32(2)20(18-11-25(38)45-14-18)6-10-35(32,44)22(21)5-9-34(33,43)13-19/h11,17,19-24,26-31,36-37,39-44H,3-10,12-16H2,1-2H3/t17?,19-,20+,21?,22?,23?,24?,26-,27+,28?,29?,30-,31+,32+,33-,34-,35-/m0/s1
InChIKey FWXUQGTVECLNCB-OKDYQEHCSA-N
Properties
Density 1.471g/cm3 (Cal.)
Boiling point 925.833°C at 760 mmHg (Cal.)
Flash point 288.226°C (Cal.)
Market Analysis Reports
Related Products
(3beta,5alpha)-...  2',3'-Dideoxy-3...  1,6-Dideoxy-1,1...  (2(R),3(R))-2,3...  Dideoxycoelente...  Dideoxycytidine...  2',3'-Dideoxy-C...  2',3'-Dideoxy-C...  2',3'-Dideoxycy...  2',3'-Dideoxy-5...  2',3'-Dideoxy-2...  4,5-Dideoxy-5-(...  2',3'-Dideoxy-2...  2',3'-Dideoxy-2...  2',3'-Dideoxy-2...  3',4'-Dideoxy-3...  2,4-Dideoxy-2,4...  4,6-Dideoxy-4,6...  1,6-Dideoxy-1,6...  1,8-Dideoxy-1,8...